题目内容

(8分)如图所示,质量M=10kg、上表面光滑的足够长的木板在F=50N的水平拉力作用下,以初速度v0=5 m/s沿水平地面向右匀速运动。现有足够多的小铁块,它们的质量均为m=1kg,将一铁块无初速地放在木板的最右端,当木板运动了L=1m时,又无初速度地在木板的最右端放上第2块铁块,只要木板运动了L就在木板的最右端无初速度放一铁块。(取g=10m/s2)试问:

(1)第1块铁块放上后,木板运动了L时,木板的速度多大?

(2)最终木板上放有多少块铁块?

 

【答案】

  m/s    7

【解析】

试题分析:(1)木板最初做匀速运动,由解得,

第l 块铁块放上后,木板做匀减速运动,即有:

  代人数据解得:  

(2)设最终有n块铁块能静止在木板上.则木板运动的加速度大小为: 

第1 块铁块放上后:

第2 块铁抉放上后:

     

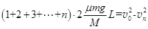
第n块铁块放上后: 

由上可得: 

木板停下时,,得n=6.6。即最终有7 块铁块放在木板上。

考点:牛顿第二定律与运动学知识相结合

 

练习册系列答案
相关题目

违法和不良信息举报电话:027-86699610 举报邮箱:58377363@163.com

精英家教网