题目内容

在用单摆测重力加速度的实验中:
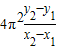
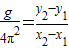
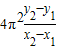
(1)某同学实验时通过改变摆线长,测出几组摆线长L和对应的周期T的数据,作出L-T2图线,如图所示.利用图线上任两点A、B的坐标(x1,y1)、(x2,y2),可求得重力加速度g=______;
(2)利用L-T2图线求解重力加速度问题时,若摆球的质量分布不均匀,直线AB将______坐标原点(填“通过”、“不通过”).

【答案】分析:根据单摆的周期公式求出摆长和周期的关系,通过图线的斜率求出重力加速度.摆球的质量不均匀,则摆长发生变化.
解答:解:根据T=,得L=,知图线的斜率为,有:,解得g=
若摆球的质量分布不均匀,则测量的摆长不准确,但是摆长的变化量不变,图线的斜率不变,但是图线不再通过坐标原点.
故答案为:(1)(2)不通过
点评:解决本题的关键掌握实验的原理,通过周期公式得出图线的斜率的物理意义.
练习册系列答案
相关题目
在“用单摆测重力加速度”的实验中,
(1)某同学的操作步骤为:
a.取一根细线,下端系住直径为d的金属小球,上端固定在铁架台上
b.用米尺量得细线长度l
c.在摆线偏离竖直方向5°位置释放小球
d.用秒表记录小球完成n次全振动的总时间t,得到周期T=
t
n

e.用公式g=
4π2l
T2
计算重力加速度
按上述方法得出的重力加速度值与实际值相比
偏小
偏小
(选填“偏大”、“相同”或“偏小”).
(2)已知单摆在任意摆角θ时的周期公式可近似为T′=T0[1+asin2(
θ
2
)]
,式中T0为摆角趋近于0°时的周期,a为常数.为了用图象法验证该关系式,需要测量的物理量有
啊T′(或t、n)、θ
啊T′(或t、n)、θ
;若某同学在实验中得到了如图甲所示的图线,则图象中的横轴表示
T
 
T
 

(3)某同学利用如图乙所示的实验装置验证机械能守恒定律,弧形轨道末端水平,离地面的高度为H,将钢球从轨道的不同高度h处静止释放,钢球的落点距轨道末端的水平距离为s.
1)若轨道完全光滑,s2与h的理论关系应满足s2=
4gH
4gH
(用H、h表示).
2)该同学经实验测量得到一组数据,如表所示:
h(10-1m) 2.00 3.00 4.00 5.00 6.00
s2(10-1m2 2.62 3.89 5.20 6.53 7.78
请在坐标纸上作出s2-h关系图.
3)对比实验结果与理论计算得到的s2-h关系图线(图丙中已画出),自同一高度静止释放的钢球,水平抛出的速率
小于
小于
(填“小于”或“大于”)理论值.
4)从s2-h关系图线中分析得出钢球水平抛出的速率差十分显著,你认为造成上述偏差的可能原因是
摩擦、转动(回答任一个即可)
摩擦、转动(回答任一个即可)
(1)某同学用半圆形玻璃砖测定玻璃的折射率(如图所示).实验的主要过程如下:
a.把白纸用图钉钉在木板上,在白纸上作出直角坐标系xOy,在白纸上画一条线段 AO表示入射光线.
b.把半圆形玻璃砖M放在白纸上,使其底边aa′与Ox轴重合.
c.用一束平行于纸面的激光从y>0区域沿y轴负方向射向玻璃砖,并沿x轴方向调整玻璃砖的位置,使这束激光从玻璃砖底面射出后,仍沿y轴负方向传播.
d.在AO线段上竖直地插上两枚大头针P1、P2
e.在坐标系的y<0的区域内竖直地插上大头针P3,并使得从P3一侧向玻璃砖方向看去,P3能同时挡住观察P1和P2的视线.
f.移开玻璃砖,作OP3连线,用圆规以O点为圆心画一个圆(如图中虚线所示),此圆与AO线交点为B,与OP3连线的交点为C.确定出B点到x轴、y轴的距离分别为x1、y1、,C点到x轴、y轴的距离分别为x2、y2
①根据上述所确定出的B、C两点到两坐标轴的距离,可知此玻璃折射率测量值的表达式为n=
 

②若实验中该同学在y<0的区域内,从任何角度都无法透过玻璃砖看到P1、P2,其原因可能是:
 

(2)在“用单摆测重力加速度”的实验中,某同学的主要操作步骤如下:
a.取一根符合实验要求的摆线,下端系一金属小球,上端固定在O点;
b.在小球静止悬挂时测量出O点到小球球心的距离l;
c.拉动小球使细线偏离竖直方向一个不大的角度(约为5°),然后由静止释放小球;
d.用秒表记录小球完成n次全振动所用的时间t.
①用所测物理量的符号表示重力加速度的测量值,其表达式为g=
 

②若测得的重力加速度数值大于当地的重力加速度的实际值,造成这一情况的原因可能是
 
.(选填下列选项前的序号)
A.测量摆长时,把摆线的长度当成了摆长
B.摆线上端未牢固地固定于O点,振动中出现松动,使摆线越摆越长
C.测量周期时,误将摆球(n-1)次全振动的时间t记为了n次全振动的时间,并由计算式T=t/n求得周期
D.摆球的质量过大
③在与其他同学交流实验方案并纠正了错误后,为了减小实验误差,他决定用图象法处理数据,并通过改变摆长,测得了多组摆长l和对应的周期T,并用这些数据作出T2-l图象如图甲所示.若图线的斜率为k,则重力加速度的测量值g=
 

④这位同学查阅资料得知,单摆在最大摆角θ较大时周期公式可近似表述为T=2π
l
g
(1+
1
4
sin2
θ
2
).为了用图象法验证单摆周期T和最大摆角θ的关系,他测出摆长为l的同一单摆在不同最大摆角θ时的周期T,并根据实验数据描绘出如图乙所示的图线.根据周期公式可知,图乙中的纵轴表示的是
 
,图线延长后与横轴交点的横坐标为
 

精英家教网

违法和不良信息举报电话:027-86699610 举报邮箱:58377363@163.com

精英家教网