题目内容

某人在一星球上以速度v竖直上抛一物体,经时间t物体以速度v落回手中.已知该星球的半径为R,求这一星球的第一宇宙速度.

答案:略
解析:

根据匀变速运动的规律可得,该星球表面的重力加速度为

该星球的第一宇宙速度,即为卫星在其表面附近绕它做匀速圆周运动的线速度,该星球对卫星的引力(重力)提供卫星做圆周运动的向心力,则

该星球表面的第一宇宙速度为

(1)几种状况下卫星特征对比图

(2)本节中描述的宇宙速度都是在地球上满足不同要求的发射速度,不能理解成卫星的运行速度.

①第一宇宙速度(环绕速度):指人造卫星近地环绕速度,它是人造卫星在地面附近环绕地球做匀速圆周运动所必须具有的速度,是人造地球卫星的最小发射速度,其大小为

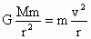
设地球质量为M,卫星质量为m,卫星到地心的距离为r,卫星做匀速圆周运动的线速度为v,根据万有引力定律和牛顿第二定律得:

应用近地条件rR(R为地球半径),取R6400km,则:

第一宇宙速度的另一种推导:

在地面附近,重力等于万有引力,此力提供卫星做匀速圆周运动的向心力.(地球半径R、地面重力加速度g已知)

②第二宇宙速度(脱离速度):在地面上(r=R)发射物体,使之能够脱离地球的引力作用,成为绕太阳运动的人造行星或飞到其他行星上去所必需的最小发射速度,其大小为v=11.2km/s

③第三宇宙速度(逃逸速度):在地面上发射物体,使之最后能脱离太阳的引力范围,飞到太阳系以外的宇宙空间历必需的最小发射速度,其大小为v=16.7km/s


练习册系列答案
相关题目

违法和不良信息举报电话:027-86699610 举报邮箱:58377363@163.com

精英家教网