题目内容

(选修3-5).如图所示,一质量为M的平板车B放在光滑水平面上,在其右端放一质量为m的小木块A,m<M,A、B间粗糙,现给A和B以大小相等、方向相反的初速度,使A开始向左运动,B开始向右运动,最后A不会滑离B,求:

(1)A、B最后的速度大小和方向;

(2)从地面上看,小木块向左运动到离出发点最远处时,平板车的速度大小和方向。

 

【答案】

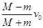
(1),方向向右    ;(2) ,方向向右

【解析】

试题分析:(1)最后A不会滑离B,即两者有共同速度,设为,由A、B系统的动量守恒定律得:

所以,方向向右

(2)A向左运动速度减为零时,到达最远处,设此时速度为,则由动量守恒定律得:

 

解得:,方向向右 

考点:本题考查了动量守恒定律。

 

练习册系列答案
相关题目

违法和不良信息举报电话:027-86699610 举报邮箱:58377363@163.com

精英家教网