ÌâÄ¿ÄÚÈÝ
ijͬѧÔÚ¡°Ñо¿Ð¡³µµÄ¼ÓËÙ¶ÈÓëÖÊÁ¿¹ØÏµ¡°µÄ̽¾¿ÊµÑéÖУ¬Ê¹ÓõÄ×°ÖÃÈçͼËùʾ£®Ëû½«¹âµçÃŹ̶¨Ôڹ⻬ˮƽ¹ìµÀÉϵÄijµãB£¬ÓÃÍ¬Ò»ÖØÎïÀ²»Í¬ÖÊÁ¿µÄС³µ£¬Ã¿´ÎС³µ¶¼´ÓͬһλÖÃAÓɾ²Ö¹ÊÍ·Å£®£¨1£©ÈôÕÚ¹â°åµÄ¿í¶Èd=1.2cm£®ÊµÑéʱ½«Ð¡³µ´ÓͼʾλÖÃÓɾ²Ö¹ÊÍ·Å£¬ÓÉÊý×Ö¼ÆÊ±Æ÷¶Á³öÕÚ¹âÌõͨ¹ý¹âµçÃŵÄʱ¼ä¡÷t=4.0×10-2s£¬ÔòС³µ¾¹ý¹âµçÃÅʱµÄ˲ʱËÙ¶ÈΪ m/s£»
£¨2£©ÈôÔÙÓÃÃ׳߲âÁ¿³ö¹âµçÃŵ½Ð¡³µ³ö·¢µãÖ®¼äµÄ¾àÀëΪs£¬Ôò¼ÆËãС³µ¼ÓËÙ¶È´óСµÄ±í´ïʽΪa= £¨¸÷Á¿¾ùÓÃ×Öĸ±íʾ£©£»
£¨3£©ÊµÑéÖпɽüËÆÈÏΪϸÏß¶ÔС³µµÄÀÁ¦ÓëÖØÎïÖØÁ¦´óСÏàµÈ£¬ÔòÖØÎïµÄÖÊÁ¿mÓëС³µµÄÖÊÁ¿M¼äÓ¦Âú×ãµÄ¹ØÏµÎª £»
£¨4£©²â³ö¶ÔÓ¦²»Í¬ÖÊÁ¿µÄС³µÉÏÕÚ¹â°åͨ¹ý¹âµçÃŵÄʱ¼ä¡÷t£¬È»ºó¾¹ýÊý¾Ý·ÖÎöµÃ³ö£¨¡÷t£©2ÓëС³µµÄÖÊÁ¿M³ÉÕý±È£®ÔòÄܵóöµÄ½áÂÛÊÇ £®
¡¾´ð°¸¡¿·ÖÎö£º£¨1£©ÕÚ¹â°åͨ¹ý¹âµçÃŵÄʱ¼äºÜ¶Ì£¬¿ÉÒÔÓöÔӦʱ¼äÄ򵀮½¾ùËÙ¶È´úÌæË²Ê±ËÙ¶È£»
£¨2£©¸ù¾ÝËÙ¶ÈÎ»ÒÆ¹ØÏµ¹«Ê½v2=2asÁÐʽÇó½â£»
£¨3£©ÎªÊ¹Éþ×ÓµÄÀÁ¦µÈÓÚÖØÎïµÄÖØÁ¦£¬MÓ¦Ô¶Ô¶´óÓÚm£»
£¨4£©¸ù¾ÝËÙ¶ÈÎ»ÒÆ¹ØÏµ¹«Ê½v2=2asÒÔ¼°¹«Ê½
·ÖÎöÓëaÓëtµÄ¹ØÏµ£¬ÔÚ½áºÏ¾Ý·ÖÎöµÃ³ö£¨¡÷t£©2ÓëС³µµÄÖÊÁ¿M³ÉÕý±È£»×îºóµÃµ½aÓëM¹ØÏµ£®
½â´ð£º½â£º£¨1£©ÓÉÓÚÕÚ¹âÌõͨ¹ý¹âµçÃŵÄʱ¼ä¼«¶Ì£¬¿ÉÒÔÓÃÆ½¾ùËٶȱíʾ˲ʱËÙ¶È£¬¹Ê

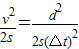
£¨2£©¸ù¾ÝËÙ¶ÈÎ»ÒÆ¹ØÏµ¹«Ê½v2=2as£¬ÓÐ
a=
£»
£¨3£©¸ÃʵÑéµÄÑо¿¶ÔÏóÊÇС³µ£¬²ÉÓÿØÖƱäÁ¿·¨Ñо¿£®µ±ÖÊÁ¿Ò»¶¨Ê±£¬Ñо¿Ð¡³µµÄ¼ÓËٶȺÍС³µËùÊܺÏÁ¦µÄ¹ØÏµ£®ÄÇôС³µµÄºÏÁ¦Ôõô¸Ä±äºÍ²âÁ¿ÄØ£¿ÎªÏû³ýĦ²ÁÁ¦¶ÔʵÑéµÄÓ°Ï죬¿ÉÒÔ°Ñľ°åDµÄ×ó¶ËÊʵ±µæ¸ß£¬ÒÔʹС³µµÄÖØÁ¦ÑØÐ±Ãæ·ÖÁ¦ºÍĦ²ÁÁ¦µÖÏû£¬ÄÇôС³µµÄºÏÁ¦¾ÍÊÇÉþ×ÓµÄÀÁ¦£®
¸ù¾ÝÅ£¶ÙµÚ¶þ¶¨Âɵãº
¶Ôm£ºmg-FÀ=ma
¶ÔM£ºFÀ=Ma
½âµÃ£ºFÀ=
µ±M£¾£¾mʱ£¬¼´µ±ÖØÎïÖØÁ¦ÒªÔ¶Ð¡ÓÚС³µµÄÖØÁ¦£¬Éþ×ÓµÄÀÁ¦½üËÆµÈÓÚÖØÎïµÄ×ÜÖØÁ¦£»
£¨4£©¸ù¾ÝËÙ¶ÈÎ»ÒÆ¹ØÏµ¹«Ê½v2=2as£¬v2¡Øa£»
¸ù¾Ý¹«Ê½
£¬v¡Ø
£»
¾¹ýÊý¾Ý·ÖÎöµÃ³ö£¨¡÷t£©2ÓëС³µµÄÖÊÁ¿M³ÉÕý±È£¬¼´£¨¡÷t£©2¡ØM£»
¹Êa¡Ø
£»
¹Ê´ð°¸Îª£º£¨1£©0.30£» £¨2£©
£»£¨3£©m£¼£¼M£»£¨4£©ÍâÁ¦²»±äʱ£¬ÎïÌåÔ˶¯µÄ¼ÓËÙ¶ÈÓëÖÊÁ¿³É·´±È£®
µãÆÀ£º±¾Ìâ¹Ø¼üÃ÷ȷ̽¾¿¼ÓËÙ¶ÈÓëÎïÌåÖÊÁ¿¡¢ÎïÌåÊÜÁ¦µÄ¹ØÏµÊµÑéµÄʵÑéÔÀí£¬ÖªµÀ¼õСϵͳÎó²îµÄÁ½ÖÖ·½·¨£¬²»ÄÑ£®
£¨2£©¸ù¾ÝËÙ¶ÈÎ»ÒÆ¹ØÏµ¹«Ê½v2=2asÁÐʽÇó½â£»
£¨3£©ÎªÊ¹Éþ×ÓµÄÀÁ¦µÈÓÚÖØÎïµÄÖØÁ¦£¬MÓ¦Ô¶Ô¶´óÓÚm£»
£¨4£©¸ù¾ÝËÙ¶ÈÎ»ÒÆ¹ØÏµ¹«Ê½v2=2asÒÔ¼°¹«Ê½
½â´ð£º½â£º£¨1£©ÓÉÓÚÕÚ¹âÌõͨ¹ý¹âµçÃŵÄʱ¼ä¼«¶Ì£¬¿ÉÒÔÓÃÆ½¾ùËٶȱíʾ˲ʱËÙ¶È£¬¹Ê
£¨2£©¸ù¾ÝËÙ¶ÈÎ»ÒÆ¹ØÏµ¹«Ê½v2=2as£¬ÓÐ
a=
£¨3£©¸ÃʵÑéµÄÑо¿¶ÔÏóÊÇС³µ£¬²ÉÓÿØÖƱäÁ¿·¨Ñо¿£®µ±ÖÊÁ¿Ò»¶¨Ê±£¬Ñо¿Ð¡³µµÄ¼ÓËٶȺÍС³µËùÊܺÏÁ¦µÄ¹ØÏµ£®ÄÇôС³µµÄºÏÁ¦Ôõô¸Ä±äºÍ²âÁ¿ÄØ£¿ÎªÏû³ýĦ²ÁÁ¦¶ÔʵÑéµÄÓ°Ï죬¿ÉÒÔ°Ñľ°åDµÄ×ó¶ËÊʵ±µæ¸ß£¬ÒÔʹС³µµÄÖØÁ¦ÑØÐ±Ãæ·ÖÁ¦ºÍĦ²ÁÁ¦µÖÏû£¬ÄÇôС³µµÄºÏÁ¦¾ÍÊÇÉþ×ÓµÄÀÁ¦£®
¸ù¾ÝÅ£¶ÙµÚ¶þ¶¨Âɵãº
¶Ôm£ºmg-FÀ=ma
¶ÔM£ºFÀ=Ma
½âµÃ£ºFÀ=
µ±M£¾£¾mʱ£¬¼´µ±ÖØÎïÖØÁ¦ÒªÔ¶Ð¡ÓÚС³µµÄÖØÁ¦£¬Éþ×ÓµÄÀÁ¦½üËÆµÈÓÚÖØÎïµÄ×ÜÖØÁ¦£»
£¨4£©¸ù¾ÝËÙ¶ÈÎ»ÒÆ¹ØÏµ¹«Ê½v2=2as£¬v2¡Øa£»
¸ù¾Ý¹«Ê½
¾¹ýÊý¾Ý·ÖÎöµÃ³ö£¨¡÷t£©2ÓëС³µµÄÖÊÁ¿M³ÉÕý±È£¬¼´£¨¡÷t£©2¡ØM£»
¹Êa¡Ø
¹Ê´ð°¸Îª£º£¨1£©0.30£» £¨2£©
µãÆÀ£º±¾Ìâ¹Ø¼üÃ÷ȷ̽¾¿¼ÓËÙ¶ÈÓëÎïÌåÖÊÁ¿¡¢ÎïÌåÊÜÁ¦µÄ¹ØÏµÊµÑéµÄʵÑéÔÀí£¬ÖªµÀ¼õСϵͳÎó²îµÄÁ½ÖÖ·½·¨£¬²»ÄÑ£®
Á·Ï°²áϵÁдð°¸
Ïà¹ØÌâÄ¿