ÌâÄ¿ÄÚÈÝ

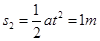
ÈçͼËùʾ£¬Ò»ÌõÉ϶˹̶¨µÄÉþ³¤l1=7£®5m£¬ÖÊÁ¿m=60KgµÄÌØ¼¼ÑÝÔ±´ÓÉþÉ϶ËÏÈÑØÉþ´Ó¾²Ö¹¿ªÊ¼ÎÞĦ²ÁÏ»¬Ò»¶Î¾àÀëºó£¬Í»È»ÎÕ½ôÉþ×Ó£¬ÓëÉþ×ÓÖ®¼ä²úÉúf=1800 NµÄĦ²Á×èÁ¦¡£»¬µ½Éþ×ÓÄ©¶ËʱËٶȸպÃΪÁã¡£Çó£º

£¨1£©Ìؼ¼ÑÝԱϻ¬ËùÓõÄʱ¼ät£®

£¨2£©ÔÚË®Æ½ÃæÉÏÓÐÒ»Á¾³¤l2=3mƽ°å³µ£¬ÆäÉϱíÃæÓëÉþÄ©¶ËµÈ¸ß£¬³µÓÒ¶ËÀëÉþÄ©¶Ës=4m£¬Æ½°å³µÄÜÒ»Ö±ÒÔv=2 m/sµÄºã¶¨ËÙ¶ÈÏòÓÒÔ˶¯£¬ÎªÁËÒªÈøÃÑÝÔ±»¬ÏºóÄÜÁôÔÚ³µÉÏ£¬Ôò³µÆô¶¯ºóÑÝÔ±Ó¦Ôڶ೤ʱ¼ä·¶Î§ÄÚ¿ªÊ¼Ï»¬£¿£¨°ÑÈË¿´×÷Öʵ㣬ÈËÓë³µÖ®¼ä¶¯Ä¦²ÁϵÊý¦Ì=0.2£¬ gÈ¡10m/s2£©

 

¡¾´ð°¸¡¿

£¨1£©1.5s  (2)´óÓÚ0.5sСÓÚ1.5s

¡¾½âÎö¡¿

ÊÔÌâ·ÖÎö£º£¨1£©Ìؼ¼ÑÝÔ±ÑØÉþ×ÓÏ»¬¹ý³Ì·ÖΪÁ½¸ö½×¶Î£¬µÚÒ»¸ö½×¶Î×ÔÓÉÂäÌåÔ˶¯£¬ÉèÄ©ËÙ¶Èv£¬ÔòµÚ¶þ½×¶Î³õËÙ¶ÈÒ²ÊÇv

µÚÒ»½×¶Î¼ÓËÙ¶ÈΪg£¬ÏÂÂäµÄ¸ß¶È

µÚ¶þ½×¶Î¼ÓËÙ¶È£¬ÏÂÂäµÄ¸ß¶È

ÄÇô£¬½âµÃv=10m/s

µÚÒ»¶ÎÔ˶¯Ê±¼äµÚ¶þ¶ÎÔ˶¯Ê±¼äËùÒÔÏ»¬ËùÓÃʱ¼ä

£¨2£©ÈËÂäÔÚ³µÉÏûÓÐËÙ¶È£¬¶ø³µÒÔ2m/sÔÈËÙÔ˶¯£¬ÈË×öÔȼÓËÙÔ˶¯£¬¼ÓËÙ¶È£¬µ±È˼ÓËÙµ½2m/sʱÓë³µÒ»ÆðÔÈËÙ£¬ÄÇôÔȼÓËÙµÄʱ¼ä£¬´Ë¹ý³Ì£¬Ð¡³µÎ»ÒÆÈ˵ÄÎ»ÒÆ£¬¼´ÈËÔÚ³µÉÏÏà¶Ô»¬¶¯¾àÀëΪ£¬ËùÒÔÈË»¬µ½³µÉÏʱÓë³µ×ó¶ËÏà¾à´óÓÚµÈÓÚ1m¡£¼´³µÒƶ¯µÄ¾àÀëСÓÚ£¬µ«ÊÇÒªÈÃÈËÂäÔÚ³µÉÏ£¬³µµÄÎ»ÒÆ»¹Òª´óÓÚ£¬

³µµÄÎ»ÒÆÐ¡ÓÚ6m´óÓÚ4m£¬³µµÄÔ˶¯Ê±¼ä£¬¼´£¬¶øÑÝԱϻ¬ÐèÒª1.5s

ËùÒÔ³µÆô¶¯ºóÑÝÔ±ÒªÔÚʱ¼äÄÚ¿ªÊ¼Ï»¬£¬ËùÒÔ³µÆô¶¯ºóÑÝÔ±ÒªÔÚ0.5sµ½1.5sʱ¼äÄÚ¿ªÊ¼Ï»¬¡£

¿¼µã£ºÔȱäËÙÔ˶¯  Ïà¶ÔÔ˶¯

 

Á·Ï°²áϵÁдð°¸
Ïà¹ØÌâÄ¿
£¨1£©Ä³Í¬Ñ§ÓðëÔ²Ðβ£Á§×©²â¶¨²£Á§µÄÕÛÉäÂÊ£¨ÈçͼËùʾ£©£®ÊµÑéµÄÖ÷Òª¹ý³ÌÈçÏ£º
a£®°Ñ°×Ö½ÓÃͼ¶¤¶¤ÔÚľ°åÉÏ£¬ÔÚ°×Ö½ÉÏ×÷³öÖ±½Ç×ø±êϵxOy£¬ÔÚ°×Ö½ÉÏ»­Ò»ÌõÏ߶ΠAO±íʾÈëÉä¹âÏߣ®
b£®°Ñ°ëÔ²Ðβ£Á§×©M·ÅÔÚ°×Ö½ÉÏ£¬Ê¹Æäµ×±ßaa¡äÓëOxÖáÖØºÏ£®
c£®ÓÃÒ»ÊøÆ½ÐÐÓÚÖ½ÃæµÄ¼¤¹â´Óy£¾0ÇøÓòÑØyÖḺ·½ÏòÉäÏò²£Á§×©£¬²¢ÑØxÖá·½Ïòµ÷Õû²£Á§×©µÄλÖã¬Ê¹ÕâÊø¼¤¹â´Ó²£Á§×©µ×ÃæÉä³öºó£¬ÈÔÑØyÖḺ·½Ïò´«²¥£®
d£®ÔÚAOÏß¶ÎÉÏÊúÖ±µØ²åÉÏÁ½Ã¶´óÍ·ÕëP1¡¢P2£®
e£®ÔÚ×ø±êϵµÄy£¼0µÄÇøÓòÄÚÊúÖ±µØ²åÉÏ´óÍ·ÕëP3£¬²¢Ê¹µÃ´ÓP3Ò»²àÏò²£Á§×©·½Ïò¿´È¥£¬P3ÄÜͬʱµ²×¡¹Û²ìP1ºÍP2µÄÊÓÏߣ®
f£®ÒÆ¿ª²£Á§×©£¬×÷OP3Á¬Ïߣ¬ÓÃÔ²¹æÒÔOµãΪԲÐÄ»­Ò»¸öÔ²£¨ÈçͼÖÐÐéÏßËùʾ£©£¬´ËÔ²ÓëAOÏß½»µãΪB£¬ÓëOP3Á¬ÏߵĽ»µãΪC£®È·¶¨³öBµãµ½xÖá¡¢yÖáµÄ¾àÀë·Ö±ðΪx1¡¢y1¡¢£¬Cµãµ½xÖá¡¢yÖáµÄ¾àÀë·Ö±ðΪx2¡¢y2£®
¢Ù¸ù¾ÝÉÏÊöËùÈ·¶¨³öµÄB¡¢CÁ½µãµ½Á½×ø±êÖáµÄ¾àÀ룬¿ÉÖª´Ë²£Á§ÕÛÉäÂʲâÁ¿ÖµµÄ±í´ïʽΪn=
 
£®
¢ÚÈôʵÑéÖиÃͬѧÔÚy£¼0µÄÇøÓòÄÚ£¬´ÓÈκνǶȶ¼ÎÞ·¨Í¸¹ý²£Á§×©¿´µ½P1¡¢P2£¬ÆäÔ­Òò¿ÉÄÜÊÇ£º
 
£®
£¨2£©ÔÚ¡°Óõ¥°Ú²âÖØÁ¦¼ÓËÙ¶È¡±µÄʵÑéÖУ¬Ä³Í¬Ñ§µÄÖ÷Òª²Ù×÷²½ÖèÈçÏ£º
a£®È¡Ò»¸ù·ûºÏʵÑéÒªÇóµÄ°ÚÏߣ¬Ï¶Ëϵһ½ðÊôСÇò£¬É϶˹̶¨ÔÚOµã£»
b£®ÔÚСÇò¾²Ö¹Ðü¹Òʱ²âÁ¿³öOµãµ½Ð¡ÇòÇòÐĵľàÀël£»
c£®À­¶¯Ð¡ÇòʹϸÏ߯«ÀëÊúÖ±·½ÏòÒ»¸ö²»´óµÄ½Ç¶È£¨Ô¼Îª5¡ã£©£¬È»ºóÓɾ²Ö¹ÊÍ·ÅСÇò£»
d£®ÓÃÃë±í¼Ç¼СÇòÍê³Én´ÎÈ«Õñ¶¯ËùÓõÄʱ¼ät£®
¢ÙÓÃËù²âÎïÀíÁ¿µÄ·ûºÅ±íÊ¾ÖØÁ¦¼ÓËٶȵIJâÁ¿Öµ£¬Æä±í´ïʽΪg=
 
£»
¢ÚÈô²âµÃµÄÖØÁ¦¼ÓËÙ¶ÈÊýÖµ´óÓÚµ±µØµÄÖØÁ¦¼ÓËٶȵÄʵ¼ÊÖµ£¬Ôì³ÉÕâÒ»Çé¿öµÄÔ­Òò¿ÉÄÜÊÇ
 
£®£¨Ñ¡ÌîÏÂÁÐÑ¡ÏîǰµÄÐòºÅ£©
A£®²âÁ¿°Ú³¤Ê±£¬°Ñ°ÚÏߵij¤¶Èµ±³ÉÁ˰ڳ¤
B£®°ÚÏßÉ϶ËδÀι̵ع̶¨ÓÚOµã£¬Õñ¶¯ÖгöÏÖËɶ¯£¬Ê¹°ÚÏßÔ½°ÚÔ½³¤
C£®²âÁ¿ÖÜÆÚʱ£¬Î󽫰ÚÇò£¨n-1£©´ÎÈ«Õñ¶¯µÄʱ¼ät¼ÇΪÁËn´ÎÈ«Õñ¶¯µÄʱ¼ä£¬²¢ÓɼÆËãʽT=t/nÇóµÃÖÜÆÚ
D£®°ÚÇòµÄÖÊÁ¿¹ý´ó
¢ÛÔÚÓëÆäËûͬѧ½»Á÷ʵÑé·½°¸²¢¾ÀÕýÁË´íÎóºó£¬ÎªÁ˼õСʵÑéÎó²î£¬Ëû¾ö¶¨ÓÃͼÏó·¨´¦ÀíÊý¾Ý£¬²¢Í¨¹ý¸Ä±ä°Ú³¤£¬²âµÃÁ˶à×é°Ú³¤lºÍ¶ÔÓ¦µÄÖÜÆÚT£¬²¢ÓÃÕâЩÊý¾Ý×÷³öT2-lͼÏóÈçͼ¼×Ëùʾ£®ÈôͼÏßµÄбÂÊΪk£¬ÔòÖØÁ¦¼ÓËٶȵIJâÁ¿Öµg=
 
£®
¢ÜÕâλͬѧ²éÔÄ×ÊÁϵÃÖª£¬µ¥°ÚÔÚ×î´ó°Ú½Ç¦È½Ï´óʱÖÜÆÚ¹«Ê½¿É½üËÆ±íÊöΪT=2¦Ð
l
g
£¨1+
1
4
sin2
¦È
2
£©£®ÎªÁËÓÃͼÏó·¨ÑéÖ¤µ¥°ÚÖÜÆÚTºÍ×î´ó°Ú½Ç¦ÈµÄ¹ØÏµ£¬Ëû²â³ö°Ú³¤ÎªlµÄͬһµ¥°ÚÔÚ²»Í¬×î´ó°Ú½Ç¦ÈʱµÄÖÜÆÚT£¬²¢¸ù¾ÝʵÑéÊý¾ÝÃè»æ³öÈçͼÒÒËùʾµÄͼÏߣ®¸ù¾ÝÖÜÆÚ¹«Ê½¿ÉÖª£¬Í¼ÒÒÖеÄ×ÝÖá±íʾµÄÊÇ
 
£¬Í¼ÏßÑÓ³¤ºóÓëºáÖá½»µãµÄºá×ø±êΪ
 
£®
¾«Ó¢¼Ò½ÌÍø
£¨1£©Ä³Í¬Ñ§ÓðëÔ²Ðβ£Á§×©²â¶¨²£Á§µÄÕÛÉäÂÊ£¨ÈçͼËùʾ£©£®ÊµÑéµÄÖ÷Òª¹ý³ÌÈçÏ£º
a£®°Ñ°×Ö½ÓÃͼ¶¤¶¤ÔÚľ°åÉÏ£¬ÔÚ°×Ö½ÉÏ×÷³öÖ±½Ç×ø±êϵxOy£¬ÔÚ°×Ö½ÉÏ»­Ò»ÌõÏ߶ΠAO±íʾÈëÉä¹âÏߣ®
b£®°Ñ°ëÔ²Ðβ£Á§×©M·ÅÔÚ°×Ö½ÉÏ£¬Ê¹Æäµ×±ßaa¡äÓëOxÖáÖØºÏ£®
c£®ÓÃÒ»ÊøÆ½ÐÐÓÚÖ½ÃæµÄ¼¤¹â´Óy£¾0ÇøÓòÑØyÖḺ·½ÏòÉäÏò²£Á§×©£¬²¢ÑØxÖá·½Ïòµ÷Õû²£Á§×©µÄλÖã¬Ê¹ÕâÊø¼¤¹â´Ó²£Á§×©µ×ÃæÉä³öºó£¬ÈÔÑØyÖḺ·½Ïò´«²¥£®
d£®ÔÚAOÏß¶ÎÉÏÊúÖ±µØ²åÉÏÁ½Ã¶´óÍ·ÕëP1¡¢P2£®
e£®ÔÚ×ø±êϵµÄy£¼0µÄÇøÓòÄÚÊúÖ±µØ²åÉÏ´óÍ·ÕëP3£¬²¢Ê¹µÃ´ÓP3Ò»²àÏò²£Á§×©·½Ïò¿´È¥£¬P3ÄÜͬʱµ²×¡¹Û²ìP1ºÍP2µÄÊÓÏߣ®
f£®ÒÆ¿ª²£Á§×©£¬×÷OP3Á¬Ïߣ¬ÓÃÔ²¹æÒÔOµãΪԲÐÄ»­Ò»¸öÔ²£¨ÈçͼÖÐÐéÏßËùʾ£©£¬´ËÔ²ÓëAOÏß½»µãΪB£¬ÓëOP3Á¬ÏߵĽ»µãΪC£®È·¶¨³öBµãµ½xÖá¡¢yÖáµÄ¾àÀë·Ö±ðΪx1¡¢y1¡¢£¬Cµãµ½xÖá¡¢yÖáµÄ¾àÀë·Ö±ðΪx2¡¢y2£®
¢Ù¸ù¾ÝÉÏÊöËùÈ·¶¨³öµÄB¡¢CÁ½µãµ½Á½×ø±êÖáµÄ¾àÀ룬¿ÉÖª´Ë²£Á§ÕÛÉäÂʲâÁ¿ÖµµÄ±í´ïʽΪn=______£®
¢ÚÈôʵÑéÖиÃͬѧÔÚy£¼0µÄÇøÓòÄÚ£¬´ÓÈκνǶȶ¼ÎÞ·¨Í¸¹ý²£Á§×©¿´µ½P1¡¢P2£¬ÆäÔ­Òò¿ÉÄÜÊÇ£º______£®
£¨2£©ÔÚ¡°Óõ¥°Ú²âÖØÁ¦¼ÓËÙ¶È¡±µÄʵÑéÖУ¬Ä³Í¬Ñ§µÄÖ÷Òª²Ù×÷²½ÖèÈçÏ£º
a£®È¡Ò»¸ù·ûºÏʵÑéÒªÇóµÄ°ÚÏߣ¬Ï¶Ëϵһ½ðÊôСÇò£¬É϶˹̶¨ÔÚOµã£»
b£®ÔÚСÇò¾²Ö¹Ðü¹Òʱ²âÁ¿³öOµãµ½Ð¡ÇòÇòÐĵľàÀël£»
c£®À­¶¯Ð¡ÇòʹϸÏ߯«ÀëÊúÖ±·½ÏòÒ»¸ö²»´óµÄ½Ç¶È£¨Ô¼Îª5°£©£¬È»ºóÓɾ²Ö¹ÊÍ·ÅСÇò£»
d£®ÓÃÃë±í¼Ç¼СÇòÍê³Én´ÎÈ«Õñ¶¯ËùÓõÄʱ¼ät£®
¢ÙÓÃËù²âÎïÀíÁ¿µÄ·ûºÅ±íÊ¾ÖØÁ¦¼ÓËٶȵIJâÁ¿Öµ£¬Æä±í´ïʽΪg=______£»
¢ÚÈô²âµÃµÄÖØÁ¦¼ÓËÙ¶ÈÊýÖµ´óÓÚµ±µØµÄÖØÁ¦¼ÓËٶȵÄʵ¼ÊÖµ£¬Ôì³ÉÕâÒ»Çé¿öµÄÔ­Òò¿ÉÄÜÊÇ______£®£¨Ñ¡ÌîÏÂÁÐÑ¡ÏîǰµÄÐòºÅ£©
A£®²âÁ¿°Ú³¤Ê±£¬°Ñ°ÚÏߵij¤¶Èµ±³ÉÁ˰ڳ¤
B£®°ÚÏßÉ϶ËδÀι̵ع̶¨ÓÚOµã£¬Õñ¶¯ÖгöÏÖËɶ¯£¬Ê¹°ÚÏßÔ½°ÚÔ½³¤
C£®²âÁ¿ÖÜÆÚʱ£¬Î󽫰ÚÇò£¨n-1£©´ÎÈ«Õñ¶¯µÄʱ¼ät¼ÇΪÁËn´ÎÈ«Õñ¶¯µÄʱ¼ä£¬²¢ÓɼÆËãʽT=t/nÇóµÃÖÜÆÚ
D£®°ÚÇòµÄÖÊÁ¿¹ý´ó
¢ÛÔÚÓëÆäËûͬѧ½»Á÷ʵÑé·½°¸²¢¾ÀÕýÁË´íÎóºó£¬ÎªÁ˼õСʵÑéÎó²î£¬Ëû¾ö¶¨ÓÃͼÏó·¨´¦ÀíÊý¾Ý£¬²¢Í¨¹ý¸Ä±ä°Ú³¤£¬²âµÃÁ˶à×é°Ú³¤lºÍ¶ÔÓ¦µÄÖÜÆÚT£¬²¢ÓÃÕâЩÊý¾Ý×÷³öT2-lͼÏóÈçͼ¼×Ëùʾ£®ÈôͼÏßµÄбÂÊΪk£¬ÔòÖØÁ¦¼ÓËٶȵIJâÁ¿Öµg=______£®
¢ÜÕâλͬѧ²éÔÄ×ÊÁϵÃÖª£¬µ¥°ÚÔÚ×î´ó°Ú½Ç¦È½Ï´óʱÖÜÆÚ¹«Ê½¿É½üËÆ±íÊöΪT=2£¨1+sin2£©£®ÎªÁËÓÃͼÏó·¨ÑéÖ¤µ¥°ÚÖÜÆÚTºÍ×î´ó°Ú½Ç¦ÈµÄ¹ØÏµ£¬Ëû²â³ö°Ú³¤ÎªlµÄͬһµ¥°ÚÔÚ²»Í¬×î´ó°Ú½Ç¦ÈʱµÄÖÜÆÚT£¬²¢¸ù¾ÝʵÑéÊý¾ÝÃè»æ³öÈçͼÒÒËùʾµÄͼÏߣ®¸ù¾ÝÖÜÆÚ¹«Ê½¿ÉÖª£¬Í¼ÒÒÖеÄ×ÝÖá±íʾµÄÊÇ______£¬Í¼ÏßÑÓ³¤ºóÓëºáÖá½»µãµÄºá×ø±êΪ______

Î¥·¨ºÍ²»Á¼ÐÅÏ¢¾Ù±¨µç»°£º027-86699610 ¾Ù±¨ÓÊÏ䣺58377363@163.com

¾«Ó¢¼Ò½ÌÍø