题目内容
在“测定电源电动势和内阻”的实验中,除待测电源(E,r),足够的连接导线外,实验室仅提供:一只量程合适的电流表A,一只电阻箱R,一个开关S.(1)画出实验原理图 .
(2)电源电动势表达式E= 和内阻表达式r= 的,并注明式中字母的含义 .
【答案】分析:由于实验的器材有限,根据所给的器材,把它们直接串联起来,通过改变电阻箱R的阻值来获得多组电阻和电流的关系,即可求得电源的电动势和内电阻.
解答:解:(1)由于实验的器材只有电源,导线,电流表A,电阻箱R和开关S,所以只能把它们串联起来,通过改变电阻箱R的阻值来获得多组电阻和电流的关系来求解电源的电动势和内电阻.所以实验的电路图为如图所示.
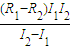
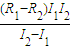
(2)设电阻箱的电阻为R1时,电流为I1,电阻为R2时,电流为I2,
根据闭合电路欧姆定律可得:
E=I1(R1+r),
E=I2(R2+r),
联立可以解得:
E=
r=
式中I1、I2是电阻箱分别取R1和R2时电流表读数.
故答案为:(1)
(2)
,
,式中I1、I2是电阻箱分别取R1和R2时电流表读数.
点评:实验题的考查更注重对学生能力的考查,在解题时要注意结合实验描述、原理图等明确实验的原理,再结合已有实验技能及方法支分析解答;在学习中一定要注意认真总结反思.
解答:解:(1)由于实验的器材只有电源,导线,电流表A,电阻箱R和开关S,所以只能把它们串联起来,通过改变电阻箱R的阻值来获得多组电阻和电流的关系来求解电源的电动势和内电阻.所以实验的电路图为如图所示.
根据闭合电路欧姆定律可得:
E=I1(R1+r),
E=I2(R2+r),
联立可以解得:
E=
r=
式中I1、I2是电阻箱分别取R1和R2时电流表读数.
故答案为:(1)
点评:实验题的考查更注重对学生能力的考查,在解题时要注意结合实验描述、原理图等明确实验的原理,再结合已有实验技能及方法支分析解答;在学习中一定要注意认真总结反思.
练习册系列答案
相关题目