题目内容

有一极地卫星绕地球做匀速圆周运动,该卫星的运动周期为T0/4,其中T0为地球的自转周期.已知地球表面的重力加速度为g,地球半径为R.求:

(1)该卫星一昼夜经过赤道上空的次数n为多少?试说明理由。

(2)该卫星离地面的高度H.

 

【答案】

(1)8次(2)

【解析】

试题分析:(1)由于一个周期通过赤道上空两次,卫星在一昼夜共四个周期,故通过8次  

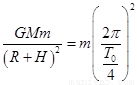
(2)根据万有引力定律:(R+H)

解得:

考点:万有引力定律的应用;人造卫星问题。

 

练习册系列答案
相关题目

违法和不良信息举报电话:027-86699610 举报邮箱:58377363@163.com

精英家教网