ÌâÄ¿ÄÚÈÝ

ijͬѧÀûÓÃÈçͼµÄʵÑé×°Öã¬ÈÃÖØ´¸×ö×ÔÓÉÂäÌåÔ˶¯£¬ÀûÓôòµã¼ÆÊ±Æ÷´ò³öµÄÖ½´øÀ´²âÁ¿µ±µØµÄÖØÁ¦¼ÓËÙ¶È¡£¸ÃͬѧÔÚʵÑéÖеõ½ÁËÒ»Ìõ½ÏÇåÎúµÄÖ½´ø£¬²¢ÔÚÖ½´øÉÏÈ¡6¸ö¼ÆÊýµã£¬Á½¸öÏàÁÚ¼ÆÊýµã¼äµÄʱ¼ä¼ä¸ôΪT£®ÆäÖÐ1¡¢2¡¢3µãÏàÁÚ£¬4¡¢5¡¢6µãÏàÁÚ£¬ÔÚ3µãºÍ4µãÖ®¼ä»¹ÓÐÈô¸É¸öµã£®x1ÊÇ1¡¢3Á½µãµÄ¾àÀ룬x3ÊÇ4¡¢6Á½µãµÄ¾àÀ룬x2ÊÇ2¡¢5Á½µãµÄ¾àÀë¡£Çó£º

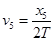
(1)µã2Ëٶȵıí´ïʽv2£½             

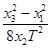
(2)Ëù²âÖØÁ¦¼ÓËٶȵıí´ïʽg£½              

(3)Ò»°ã²âÁ¿Öµ»áСÓÚµ±µØÖØÁ¦¼ÓËٶȵÄÕæÊµÖµ£¬Ô­ÒòÊÇ____________________________¡££¨Ð´³öÒ»¸ö¼´¿É£©

 

¡¾´ð°¸¡¿

£¨1£©£»£¨2£©£»£¨3£©×èÁ¦×÷ÓÃ

¡¾½âÎö¡¿

ÊÔÌâ·ÖÎö£º£¨1£©ÓÉÓÚµã2´¦ÓÚµã1¡¢3µÄÖмäʱ¿Ì£¬Òò´Ë´òµã2ʱµÄËٶȾÍÊÇ1¡¢3¶ÎµÄƽÎÞ¾ùËÙ¶È£¬¼´£»

£¨2£©Í¬Ñù´òµã5ʱµÄËÙ¶È£¬´Ó2µ½5×öÔȼÓËÙÔ˶¯£¬Òò´Ë

´úÈëµÃ£º

£¨3£©ÓÉÓÚ¸÷ÖÖ×èÁ¦×÷Óã¬Ê¹µÃÎïÌåÏÂÂäµÄ¼ÓËÙ¶ÈСÓÚÖØÁ¦¼ÓËÙ¶Èg

¿¼µã£º´òµã¼ÆÊ±Æ÷²âÔȱäËÙ¶ÈÖ±ÏßÔ˶¯µÄ¼ÓËÙ¶È

 

Á·Ï°²áϵÁдð°¸
Ïà¹ØÌâÄ¿
£¨1£©ÔÚ¡°Óõ¥°Ú²âÖØÁ¦¼ÓËÙ¶È¡±µÄʵÑéÖУ¬
¢ÙijͬѧµÄ²Ù×÷²½ÖèΪ£º
a£®È¡Ò»¸ùϸÏߣ¬Ï¶Ëϵסֱ¾¶ÎªdµÄ½ðÊôСÇò£¬É϶˹̶¨ÔÚÌú¼Ų̈ÉÏ
b£®ÓÃÃ׳ßÁ¿µÃϸÏß³¤¶Èl
c£®ÔÚ°ÚÏ߯«ÀëÊúÖ±·½Ïò5¡ãλÖÃÊÍ·ÅСÇò
d£®ÓÃÃë±í¼Ç¼СÇòÍê³Én´ÎÈ«Õñ¶¯µÄ×Üʱ¼ät£¬µÃµ½ÖÜÆÚT=
t
n

e£®Óù«Ê½g=
4¦Ð2l
T2
¼ÆËãÖØÁ¦¼ÓËÙ¶È
°´ÉÏÊö·½·¨µÃ³öµÄÖØÁ¦¼ÓËÙ¶ÈÖµÓëʵ¼ÊÖµÏà±È
 
£¨Ñ¡Ìî¡°Æ«´ó¡±¡¢¡°Ïàͬ¡±»ò¡°Æ«Ð¡¡±£©£®
¢ÚÒÑÖªµ¥°ÚÔÚÈÎÒâ°Ú½Ç¦ÈʱµÄÖÜÆÚ¹«Ê½¿É½üËÆÎªT¡ä=T0[1+asin2£¨
¦È
2
£©]£¬Ê½ÖÐT0Ϊ°Ú½ÇÇ÷½üÓÚ0¡ãʱµÄÖÜÆÚ£¬aΪ³£Êý£®ÎªÁËÓÃͼÏó·¨ÑéÖ¤¸Ã¹ØÏµÊ½£¬ÐèÒª²âÁ¿µÄÎïÀíÁ¿ÓÐ
 
£»ÈôijͬѧÔÚʵÑéÖеõ½ÁËÈçͼËùʾµÄͼÏߣ¬ÔòͼÏóÖеĺáÖá±íʾ
 
£®
¾«Ó¢¼Ò½ÌÍø
£¨2£©Ä³Í¬Ñ§ÀûÓÃÈçͼËùʾµÄʵÑé×°ÖÃÑéÖ¤»úеÄÜÊØºã¶¨ÂÉ£¬»¡ÐιìµÀÄ©¶Ëˮƽ£¬ÀëµØÃæµÄ¸ß¶ÈΪH£¬½«¸ÖÇò´Ó¹ìµÀµÄ²»Í¬¸ß¶Èh´¦¾²Ö¹ÊÍ·Å£¬¸ÖÇòµÄÂäµã¾à¹ìµÀÄ©¶ËµÄˮƽ¾àÀëΪs£®
¢ÙÈô¹ìµÀÍêÈ«¹â»¬£¬s2ÓëhµÄÀíÂÛ¹ØÏµÓ¦Âú×ãs2=
 
£¨ÓÃH¡¢h±íʾ£©£®
¢Ú¸Ãͬѧ¾­ÊµÑé²âÁ¿µÃµ½Ò»×éÊý¾Ý£¬ÈçϱíËùʾ£º
h£¨10-1m£© 2.00 3.00 4.00 5.00 6.00
s2£¨10-1m2£© 2.62 3.89 5.20 6.53 7.78
ÇëÔÚ×ø±êÖ½ÉÏ×÷³ös2-h¹ØÏµÍ¼£®
¢Û¶Ô±ÈʵÑé½á¹ûÓëÀíÂÛ¼ÆËãµÃµ½µÄs2-h¹ØÏµÍ¼Ïߣ¨Í¼ÖÐÒÑ»­³ö£©£¬×Ôͬһ¸ß¶È¾²Ö¹ÊͷŵĸÖÇò£¬Ë®Æ½Å׳öµÄËÙÂÊ
 
£¨ÌСÓÚ¡±»ò¡°´óÓÚ¡±£©ÀíÂÛÖµ£®
¢Ü´Ós2-h¹ØÏµÍ¼ÏßÖзÖÎöµÃ³ö¸ÖÇòˮƽÅ׳öµÄËÙÂʲîÊ®·ÖÏÔÖø£¬ÄãÈÏΪÔì³ÉÉÏÊöÆ«²îµÄ¿ÉÄÜÔ­ÒòÊÇ
 
£®

Î¥·¨ºÍ²»Á¼ÐÅÏ¢¾Ù±¨µç»°£º027-86699610 ¾Ù±¨ÓÊÏ䣺58377363@163.com

¾«Ó¢¼Ò½ÌÍø