题目内容
做匀变速直线运动的物体通过A、B、C三点,已知物体通过AB段、BC段的位移和时间分别为s1、s2和t1、t2,求:(1)物体通过AB段、BC段的中间时刻的速度各是多少?
(2)物体运动的加速度为多大?
【答案】分析:物体做匀变速直线运动,根据推论:物体在一段时间内的平均速度等于这段时间内中点时刻的瞬时速度,即可求解中间时刻的速度.
(2)由加速度的定义式求解加速度.
解答:解:(1)根据匀变速直线运动的推论:物体在一段时间内的平均速度等于这段时间内中点时刻的瞬时速度,则有
物体通过AB段、BC段的中间时刻的速度分别是:
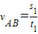
,
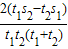
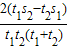
(2)物体的加速度为:a=
=
答:
(1)物体通过AB段、BC段的中间时刻的速度各是
和
.
(2)物体运动的加速度为
.
点评:本题如用基本公式求解,比较繁琐,运用推论很简洁,在学习时既要掌握基本公式,也要在理解的基础上记住有关推论.
(2)由加速度的定义式求解加速度.
解答:解:(1)根据匀变速直线运动的推论:物体在一段时间内的平均速度等于这段时间内中点时刻的瞬时速度,则有
物体通过AB段、BC段的中间时刻的速度分别是:
(2)物体的加速度为:a=
答:
(1)物体通过AB段、BC段的中间时刻的速度各是
(2)物体运动的加速度为
点评:本题如用基本公式求解,比较繁琐,运用推论很简洁,在学习时既要掌握基本公式,也要在理解的基础上记住有关推论.
练习册系列答案
相关题目