题目内容

如图所示,半径为R 的光滑圆形轨道竖直固定放置,质量为m 的小球在圆形轨道内侧做圆周运动.小球通过轨道最高点时恰好与轨道间没有相互作用力.已知当地的重力加速度大小为g ,不计空气阻力.试求:

(1)小球通过轨道最高点时速度的大小;

(2)小球通过轨道最低点时角速度的大小;

(3)小球通过轨道最低点时受到轨道支持力的大小.

答案:
解析:

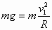
  解:(1)设小球通过轨道最高点时速度的大小为v1,根据题意和牛顿第二定律可知:(2分),解得(1分)

  (2)设小球通过轨道最低点时的速度大小为v2,根据机械能守恒定律可知:

  (2分),又,解得(2分)

  (3)(2分),解得N=6mg(1分)


练习册系列答案
相关题目

违法和不良信息举报电话:027-86699610 举报邮箱:58377363@163.com

精英家教网