题目内容

以36 km/h的速度行驶的汽车,刹车后做匀减速直线运动,若汽车在刹车后第2 s内的位移是6.25 m,则刹车后5 s内的位移是多少?

 

【答案】

20 m

【解析】

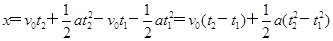
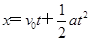
试题分析:设汽车的运动方向为正方向,初速度,据位移公式

第2 s内的位移

解得.

设刹车后经过t s停止运动,

可见,刹车后5 s的时间内有1 s是静止的,故刹车后5 s内的位移为

考点:考查了匀变速直线运动规律的应用

点评:关于刹车问题,一旦车停止就不在运动,所以一般要先计算刹车所用时间,然后拿所给时间与刹车时间比较,即可解题.

 

练习册系列答案
相关题目
人类的陆上运输经历了从马车到蒸汽机车,再到内燃机车的演变过程。今天,我们已拥有汽车、火车、飞机等快速交通工具。

1.汽车、火车、飞机在行驶中都会因某些因素而影响其速度,所以高速运行的交通工具的头部一般呈流线型,主要是为了减少____________。

2.某汽车的部分参数如下表,请根据表中数据完成表的其他部分。

整车行驶质量1 500 kg

最大功率92 kW

加速性能

0—108 km/h(即30 m/s)所需时间

平均加速度

11 s

          m/s2

制动性能

车辆以36 km/h(即10 m/s)行驶时的制动距离

制动过程中所受合外力

6.5 m

            N

3.生活中经常用“呼啸而来”形容正在驶近的车辆,这是声波在传播过程中对接收者而言频率发生变化的表现,无线电波也具有这种效应。图中的测速雷达正在向一辆接近的车辆发出无线电波,并接收被车辆反射的无线电波。由于车辆的运动,接收的无线电波频率与发出时不同,利用频率差f接收-f发出就能计算出车辆的速度。已知发出和接收的频率间关系为f接收=(1+)f发出,式中c是真空中的光速,若f发出=2×109 Hz,f接收-f发出=400 Hz,可知被测车辆的速度大小为_______________m/s。

4.有一个小实验:当向两片竖直放置的纸片的中间吹气时,会发现两个小纸片不但不分离,反而靠拢了。这一现象告诉我们,流体运动部分产生的压强要比它周围静止部分产生的压强小。也可以概括为流速大,压强小,流速小,压强大。飞机上天就是由于机翼上下空气流速不同造成的压力差所致。F1赛车在尾部都装有尾翼板,其作用是(    )

A.减小摩擦            B.抵消升力            C.减小阻力            D.升高重心

5.电动车所需能量由它所携带的蓄电池供给。下图为某类电动车与汽油车性能的比较。通常车用电动机的质量是汽油机的4倍或5倍。为促进电动车的推广使用,在技术上主要应对电动车的_________、________等部件加以改进。

                

每千克蓄能物质所储存的能量         储存能量转化为动能的百分比        充一次电或一箱油能行驶的距离

 

给电动车蓄电池充电的能量实际上来自于发电站。一般发电站燃烧燃料所释放出来的能量仅30%转化为电能,在向用户输送及充电过程中又损失了20%,这意味着使用电动车时能量转化的总效率约为____________%。

人类的陆上运输经历了从马车到蒸汽机车,再到内燃机车的演变过程。今天,我们已拥有汽车、火车、飞机等快速交通工具。

1.汽车、火车、飞机在行驶中都会因某些因素而影响其速度,所以高速运行的交通工具的头部一般呈流线型,主要是为了减少_______________。

2.某汽车的部分参数如下表,请根据表中数据完成表的其他部分。

整车行驶质量1 500 kg

最大功率92 kW

加速性能

0—108 km/h(即30 m/s)所需时间

平均加速度

11 s

m/s2

制动性能

车辆以36 km/h(即10 m/s)行驶时的制动距离

制动过程中所受合外力

6.5 m

N

3.生活中经常用“呼啸而来”形容正在驶近的车辆,这是声波在传播过程中对接收者而言频率发生变化的表现,无线电波也具有这种效应。图中的测速雷达正在向一辆接近的车辆发出无线电波,并接收被车辆反射的无线电波。由于车辆的运动,接收的无线电波频率与发出时不同,利用频率差f接收-f发出就能计算出车辆的速度。已知发出和接收的频率间关系为f接收=(1+)f发出,式中c是真空中的光速,若f发出=2×109 Hz,f接收-f发出=400 Hz,可知被测车辆的速度大小为____________________m/s。

4.有一个小实验:当向两片竖直放置的纸片的中间吹气时,会发现两个小纸片不但不分离,反而靠拢了。这一现象告诉我们,流体运动部分产生的压强要比它周围静止部分产生的压强小。也可以概括为流速大,压强小,流速小,压强大。飞机上天就是由于机翼上下空气流速不同造成的压力差所致。F1赛车在尾部都装有尾翼板,其作用是(    )

A.减小摩擦          B.抵消升力            C.减小阻力            D.升高重心

5.电动车所需能量由它所携带的蓄电池供给。下图为某类电动车与汽油车性能的比较。通常车用电动机的质量是汽油机的4倍或5倍。为促进电动车的推广使用,在技术上主要应对电动车的_________________、__________________等部件加以改进。

          

每千克蓄能物质所储存的能量     储存能量转化为动能的百分比

充一次电或一箱油能行驶的距离

    给电动车蓄电池充电的能量实际上来自于发电站。一般发电站燃烧燃料所释放出来的能量仅30%转化为电能,在向用户输送及充电过程中又损失了20%,这意味着使用电动车时能量转化的总效率约为__________________%。

违法和不良信息举报电话:027-86699610 举报邮箱:58377363@163.com

精英家教网