题目内容
如图所示,质量分别为
和
的A和B两球轻弹簧连接,A球用细线悬挂起来,两球均处于静止状态.如果将悬挂A球的细线剪断,此时A和B两球的瞬间加速度各是多少?
答案:略
解析:
解析:
|
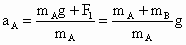
物体在某一瞬时的加速度,由这一时刻的合外力决定.首先分析细线剪断前, A、B两球均处于静止状态,细线剪断时弹簧的弹力不能突变,B球受合力为零,而A球细线的拉力消失,其合力就等于A球平衡时细线的拉力先分析平衡(细线未剪断)时 A和B的受力情况,如图所示.A球受重力、弹簧弹力剪断细线瞬间,
本题考查了加速度与力的瞬时性,同时也考查了弹簧所产生的弹力不能发生突变的特性. |
练习册系列答案
相关题目