ÌâÄ¿ÄÚÈÝ

£¨1£©Èçͼ1Ëùʾ£¬Ò»¾øÈÈÈÝÆ÷±»¸ô°åK¸ô¿ª³Éa¡¢bÁ½²¿·Ö£®ÒÑÖªaÄÚÓÐÒ»¶¨Á¿µÄÏ¡±¡ÆøÌ壬bÄÚÎªÕæ¿Õ£®³é¿ª¸ô°åKºó£¬aÄÚÆøÌå½øÈëb£¬×îÖÕ´ïØÙƽºâ״̬£®
Ôڴ˹ý³ÌÖÐ______
A£®ÆøÌå¶ÔÍâ½ç×ö¹¦£¬ÄÚÄܼõÉÙ
B£®ÆøÌå²»×ö¹¦£¬ÄÚÄܲ»±ä
C£®ÆøÌåѹǿ±äС£¬Î¶ȽµµÍ
D£®ÆøÌåѹǿ±äС£¬Î¶Ȳ»±ä
E£®µ¥Î»Ê±¼äÄÚºÍÈÝÆ÷±ÚÅöײµÄ·Ö×ÓÊýÄ¿¼õÉÙ
£¨2£©³¤Îª100cmµÄÄÚ¾¶¾ùÔȵÄϸ²£Á§¹Ü£¬Ò»¶Ë±»·â±Õ£¬Ò»¶Ë¿ª¿Ú£¬µ±¿ª¿ÚÊúÖ±ÏòÉÏʱ£¬ÓÃ20cmË®ÒøÖù·âס49cm³¤µÄ¿ÕÆøÖù£¬Èçͼ2Ëùʾ£¬µ±¿ª¿ÚÊúÖ±ÏòÏÂʱ£¬¹ÜÄÚ±»·â±ÕµÄ¿ÕÆøÖù³¤Îª¶àÉÙ£¿É赱ʱ´óÆøÑ¹Ç¿Îª76cmHg£®

¡¾´ð°¸¡¿·ÖÎö£º£¨1£©ÆøÌå×ÔÓÉÀ©É¢£¬¶øÇÒÊǾøÈȹý³Ì£¬Ìå»ý±ä´ó£¬¹ÊÄÚÄܲ»±ä£¬ÓÉÀíÏëÆøÌå״̬·½³Ì¿ÉÒÔÖ±½ÓÇó½â£®
£¨2£©±»·â±ÕÔÚ²£Á§¹ÜÖÐµÄÆøÌ壬ÔÚת¶¯¹ý³ÌÖУ¬Î¶Ȳ»±ä£¬¸ù¾Ý²£Òâ¶ú¶¨ÂÉÑо¿£®ÏÈÓɲ£Òâ¶ú¶¨ÂÉÅжϿª¿ÚÏòÏÂʱ£¬¹ÜÖÐË®ÒøÄÜ·ñÒç³ö£¬ÔÙÇó½â¿ª¿ÚÊúÖ±ÏòÏÂʱ£¬¹ÜÄÚ±»·â±ÕµÄ¿ÕÆøÖù³¤£®
½â´ð£º½â£º£¨1£©A¡¢Ï¡±¡ÆøÌåÏòÕæ¿ÕÀ©É¢Ã»ÓÐ×ö¹¦£¬W=0£¬¹ÊA´íÎó£»
B¡¢¾øÈÈÈÝÆ÷ÄÚµÄÏ¡±¡ÆøÌåÓëÍâ½çûÓÐÈÈ´«µÝ£¬Q=0£¬W=0£¬Ôò¸ù¾ÝÈÈÁ¦Ñ§µÚÒ»¶¨ÂɵÃÖªÄÚÄܲ»±ä£¬¹ÊBÕýÈ·£»
C¡¢D¸ù¾Ý²£Òâ¶ú¶¨ÂɵÃÖª£¬ÆøÌåÌå»ýÔö´ó£¬Ñ¹Ç¿¼õС£¬ÆøÌåµÄÄÚÄܲ»±ä£¬ÔòζȲ»±ä£¬¹ÊC´íÎó£¬DÕýÈ·£»
E¡¢Ï¡±¡ÆøÌåÀ©É¢Ìå»ýÔö´ó£¬·Ö×ÓÊýÃܶȼõС£¬µ¥Î»Ê±¼äÄÚºÍÈÝÆ÷±ÚÅöײµÄ·Ö×ÓÊýÄ¿¼õÉÙ£®¹ÊEÕýÈ·£»
¹ÊÑ¡BDE£®
£¨2£©È¡±»·â±ÕÔÚ²£Á§¹ÜÖÐµÄÆøÌåΪÑо¿¶ÔÏó£¬ÔÚת¶¯¹ý³ÌÖпÉÒÔÈÏÎªÆøÌåµÄÖÊÁ¿ºÍζȲ»±ä£¬¹ÊÓ¦Óò£Òâ¶ú¶¨ÂÉÇó½â£®
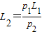
³õ״̬£ºp1=£¨76+20£©cmHg=96 cmHg£¬L1=49cm
ĩ״̬£ºp2=£¨76-20£©cmHg=56 cmHg£¬L2=£¿
¸ù¾Ý²£Òâ¶ú¶¨ÂÉÓУºp1L1S=p2L2S
½âµÃ =84cm
ÓÉÓÚL2+20=104cm£¬´óÓڹܳ¤100cm£¬ËµÃ÷Ë®Òø½«ÒªÒç³öÒ»²¿·Ö£®
Éèĩ״̬¹ÜÄÚË®ÒøÖù³¤Îªxcm£¬Ôò
p2=£¨76-x£©cmHg£¬L2=£¨100-x£©cm
¸ù¾Ý²£Òâ¶ú¶¨ÂÉÓÐ p1L1S=p2L2S
µÃ£¨76+20£©×19=£¨76-x£©?£¨100-x£©
ÕûÀíµÃ£ºx2-176x+2896=0
½âµÃ£ºx2=18.4cm£¬x'=157.6cm£¨ÉáÈ¥£©
ËùÇóÆøÖù³¤Îª£º100-x=81.6cm 
¹Ê´ð°¸Îª£º£¨1£©BDE£»
£¨2£©µ±¿ª¿ÚÊúÖ±ÏòÏÂʱ£¬¹ÜÄÚ±»·â±ÕµÄ¿ÕÆøÖù³¤Îª81.6cm£®
µãÆÀ£ºµÚ1ÌâÖоøÈÈ×ÔÓÉÅòÕÍ£¬ÆøÌå²»×ö¹¦£¬¸ù¾ÝÈÈÁ¦Ñ§µÚÒ»¶¨ÂÉºÍÆøÌ¬·½³Ì½áºÏ½øÐзÖÎö£®µÚ2Ìâ¹Ø¼üÒªÅжϿª¿ÚÏòÏÂʱ£¬Ë®ÒøÓÐÎÞÒç³ö£®
Á·Ï°²áϵÁдð°¸
Ïà¹ØÌâÄ¿

 ±¾Ìâ°üÀ¨A¡¢B¡¢CÈýСÌ⣬ÇëÑ¡¶¨ÆäÖÐÁ½Ì⣬²¢ÔÚÏàÓ¦µÄ´ðÌâÇøÓòÄÚ×÷´ð£¬ÈôÈýÌâ¶¼×ö£¬Ôò°´A¡¢BÁ½ÌâÆÀ·Ö¡£

A£®(Ñ¡ÐÞÄ£¿é3£­3)(12·Ö)

£¨1£©ÈçͼËùʾ£¬Ò»¶¨ÖÊÁ¿µÄÀíÏëÆøÌå·Ö±ðÔÚζÈT1ºÍT2ÇéÐÎÏÂ×öµÈα仯µÄp-VͼÏñ£¬ÔòÏÂÁйØÓÚT1ºÍT2´óСµÄ˵·¨£¬ÕýÈ·µÄÊÇ¡¡¡ø¡¡£®

A£®T1´óÓÚT2                       B£®T1СÓÚT2

C£®T1µÈÓÚT2                       D£®ÎÞ·¨±È½Ï

£¨2£©Èçͼ¼×Ëùʾ£¬½«·âÓÐÒ»¶¨ÖÊÁ¿¿ÕÆøµÄÃܱÕËÜÁÏ´ü´Óº£°Î500m¡¢ÆøÎÂΪ18¡æµÄɽ½ÅÏ´øµ½º£°Î3200m¡¢ÆøÎÂΪ10¡æµÄɽ¶¥ÉÏ£¬ÇéÐÎÈçͼÒÒËùʾ¡£Í¼¡¡¡ø¡¡(Ñ¡Ìî¡°¼×¡±»ò¡°ÒÒ¡±)ÖдüÖÐÆøÌå·Ö×ÓÆ½¾ù¶¯ÄÜ´ó¡£´Ó¼×ͼµ½ÒÒͼ¹ý³ÌÖУ¬´üÄÚÆøÌå¼õСµÄÄÚÄÜ¡¡¡ø¡¡(Ñ¡Ìî¡°´óÓÚ¡±¡¢¡°µÈÓÚ¡±»ò¡°Ð¡ÓÚ¡±)ÆøÌå·Å³öµÄÈÈÁ¿¡£

£¨3£©ÈçͼËùʾ£¬IBMµÄ¿ÆÑ§¼ÒÔÚÍ­±íÃæ½«48¸öÌúÔ­×ÓÅųÉԲȦ£¬Ðγɰ뾶Ϊ7.13nmµÄ¡°Ô­×ÓΧÀ¸¡±£¬ÏàÁÚÌúÔ­×Ó¼äÓмä϶¡£¹ÀËãÔ­×ÓÆ½¾ù¼ä϶µÄ´óС¡£½á¹û±£ÁôһλÓÐЧÊý×Ö¡£ÒÑÖªÌúµÄÃܶȣ¬Ä¦¶ûÖÊÁ¿ÊÇ£¬°¢·ü¼ÓµÂÂÞ³£Êý¡£

B£®(Ñ¡ÐÞÄ£¿é3£­4)(12·Ö)

£¨1£©Áгµ¾²Ö¹Ê±£¬³µÏ᳤¶ÈÓëÑØ¹ìµÀ·½ÏòÅÅÁеÄÏàÁÚµçÏ߸˼ä¾àÀëÏàµÈ¡£µ±ÁгµÒÔ½Ó½ü¹âËÙÐÐÊ»£¬³µÉϵij˿͹۲⳵Ï᳤¶ÈÓëÏàÁÚµçÏ߸˼ä¾àÀ룬ËùµÃ³öµÄ½áÂÛÊÇ¡¡¡ø¡¡¡£

A£®³µÏ᳤¶È´óÓÚÏàÁÚµçÏ߸˼ä¾àÀë

B£®³µÏ᳤¶ÈСÓÚÏàÁÚµçÏ߸˼ä¾àÀë

C£®Ïòǰ¹Û²âʱ³µÏ᳤¶ÈСÓÚÏàÁÚµçÏ߸˼ä¾àÀë

D£®Ïòºó¹Û²âʱ³µÏ᳤¶ÈСÓÚÏàÁÚµçÏ߸˼ä¾àÀë

£¨2£©ºþÃæÉÏÍ£×ÅÒ»Ìõ´¬£¬Ò»¸öÈ˹۲⵽ÿ¸ô5sÓÐÒ»¸ö²¨·å¾­¹ýÕâÌõ´¬£¬ÏàÁÚ²¨·å¼äµÄ¾àÀëÊÇ60m¡£ÕâÁв¨µÄƵÂÊÊÇ¡¡¡ø¡¡Hz£¬Ë®²¨µÄ²¨ËÙÊÇ¡¡¡ø¡¡m/s¡£

£¨3£©ÈçͼËùʾ£¬ÔÚÒ»ºñ¶ÈΪdµÄÃÅÖа²·ÅÒ»³¤¶ÈÓëÃźñ¶ÈÏàͬµÄ²£Á§Ô²ÖùÌ壬ÆäÖ±¾¶Îªl¡£²£Á§Ô²ÖùÌåµÄÕÛÉäÂÊΪ£¬ÇÒ¡£Çó´ÓÓÒ²àÖÐÐĵãPͨ¹ý²£Á§Ô²ÖùÌåÄÜ¿´µ½ÃÅÍâµÄ½Ç¶È·¶Î§¡£

C£®(Ñ¡ÐÞÄ£¿é3£­5)(12·Ö)

£¨1£©Ô­×Ӻ˵ıȽáºÏÄÜÓëºË×ÓÊýµÄ¹ØÏµÈçͼËùʾ¡£ºË×Ó×éºÏ³ÉÔ­×ÓºËʱ¡¡¡ø¡¡¡£

A£®Ð¡ÖÊÁ¿ÊýµÄÔ­×ÓºËÖÊÁ¿¿÷Ëð×î´ó

B£®ÖеÈÖÊÁ¿ÊýµÄÔ­×ÓºËÖÊÁ¿¿÷Ëð×î´ó

C£®´óÖÊÁ¿ÊýµÄÔ­×ÓºËÖÊÁ¿¿÷Ëð×î´ó

D£®²»Í¬ÖÊÁ¿ÊýµÄÔ­×ÓºËÖÊÁ¿¿÷ËðÏàͬ

£¨2£©Ôں˷´Ó¦¶ÑÖÐÓÃʯī×öÂý»¯¼ÁʹÖÐ×Ó¼õËÙ£¬ÖÐ×ÓÒÔÒ»¶¨ËÙ¶ÈÓ뾲ֹ̼ºË·¢ÉúÕýÅö£¬ÅöºóÖÐ×Ó·´Ïòµ¯»Ø£¬ÔòÅöºó̼ºËµÄÔ˶¯·½ÏòÓë´ËʱÖÐ×ÓÔ˶¯µÄ·½Ïò¡¡¡ø¡¡(Ñ¡Ìî¡°Ïà·´¡±»ò¡°Ïàͬ¡±)£¬Ì¼ºËµÄ¶¯Á¿¡¡¡ø¡¡(Ñ¡Ìî¡°´óÓÚ¡±¡¢¡°µÈÓÚ¡±»ò¡°Ð¡ÓÚ¡±) ÅöºóÖÐ×ӵ͝Á¿¡£

£¨3£©ÇâÔ­×ÓµÄÄܼ¶ÈçͼËùʾ¡£Ô­×Ó´ÓÄܼ¶n=3Ïòn=1ԾǨËù·Å³öµÄ¹â×Ó£¬ÕýºÃʹijÖÖ½ðÊô²ÄÁϲúÉú¹âµçЧӦ¡£ÓÐһȺ´¦ÓÚn=4Äܼ¶µÄÇâÔ­×ÓÏò½ÏµÍÄܼ¶Ô¾Ç¨Ê±Ëù·¢³öµÄ¹âÕÕÉä¸Ã½ðÊô¡£Çó¸Ã½ðÊôµÄ½ØÖ¹ÆµÂʺͲúÉú¹âµç×Ó×î´ó³õ¶¯ÄܵÄ×î´óÖµ¡£ÆÕÀʿ˳£Á¿£¬½á¹û±£ÁôÁ½Î»ÓÐЧÊý×Ö¡£

 

µÚ¶þ²¿·Ö  Å£¶ÙÔ˶¯¶¨ÂÉ

µÚÒ»½² Å£¶ÙÈý¶¨ÂÉ

Ò»¡¢Å£¶ÙµÚÒ»¶¨ÂÉ

1¡¢¶¨ÂÉ¡£¹ßÐÔµÄÁ¿¶È

2¡¢¹ÛÄîÒâÒå£¬Í»ÆÆ¡°³õ̬À§»ó¡±

¶þ¡¢Å£¶ÙµÚ¶þ¶¨ÂÉ

1¡¢¶¨ÂÉ

2¡¢Àí½âÒªµã

a¡¢Ê¸Á¿ÐÔ

b¡¢¶ÀÁ¢×÷ÓÃÐÔ£º¦²F ¡ú a £¬¦²Fx ¡ú ax ¡­

c¡¢Ë²Ê±ÐÔ¡£ºÏÁ¦¿ÉÍ»±ä£¬¹Ê¼ÓËÙ¶È¿ÉÍ»±ä£¨ÓëÖ®¶Ô±È£ºËٶȺÍÎ»ÒÆ²»¿ÉÍ»±ä£©£»Å£¶ÙµÚ¶þ¶¨ÂÉչʾÁ˼ÓËٶȵľö¶¨Ê½£¨¼ÓËٶȵ͍Òåʽ½ö½öչʾÁ˼ÓËٶȵġ°²âÁ¿ÊֶΡ±£©¡£

3¡¢ÊÊÓÃÌõ¼þ

a¡¢ºê¹Û¡¢µÍËÙ

b¡¢¹ßÐÔϵ

¶ÔÓڷǹßÐÔϵµÄ¶¨ÂÉÐÞÕý¡ª¡ªÒýÈë¹ßÐÔÁ¦¡¢²ÎÓëÊÜÁ¦·ÖÎö

Èý¡¢Å£¶ÙµÚÈý¶¨ÂÉ

1¡¢¶¨ÂÉ

2¡¢Àí½âÒªµã

a¡¢Í¬ÐÔÖÊ£¨µ«²»Í¬ÎïÌ壩

b¡¢µÈʱЧ£¨Í¬Ôöͬ¼õ£©

c¡¢ÎÞÌõ¼þ£¨ÓëÔ˶¯×´Ì¬¡¢¿Õ¼äÑ¡ÔñÎ޹أ©

µÚ¶þ½² Å£¶Ù¶¨ÂɵÄÓ¦ÓÃ

Ò»¡¢Å£¶ÙµÚÒ»¡¢µÚ¶þ¶¨ÂɵÄÓ¦ÓÃ

µ¥¶ÀÓ¦ÓÃÅ£¶ÙµÚÒ»¶¨ÂɵÄÎïÀíÎÊÌâ±È½ÏÉÙ£¬Ò»°ãÊÇÐèÒªÓÃÆä½â¾öÎïÀíÎÊÌâÖеÄijһ¸ö»·½Ú¡£

Ó¦ÓÃÒªµã£ººÏÁ¦ÎªÁãʱ£¬ÎïÌå¿¿¹ßÐÔά³ÖÔ­ÓÐÔ˶¯×´Ì¬£»Ö»ÓÐÎïÌåÓмÓËÙ¶Èʱ²ÅÐèÒªºÏÁ¦¡£ÓÐÖÊÁ¿µÄÎïÌå²ÅÓйßÐÔ¡£a¿ÉÒÔÍ»±ä¶øv¡¢s²»¿ÉÍ»±ä¡£

1¡¢Èçͼ1Ëùʾ£¬ÔÚÂí´ïµÄÇý¶¯Ï£¬Æ¤´øÔËÊä»úÉÏ·½µÄƤ´øÒԺ㶨µÄËÙ¶ÈÏòÓÒÔ˶¯¡£ÏÖ½«Ò»¹¤¼þ£¨´óС²»¼Æ£©ÔÚÆ¤´ø×ó¶ËAµãÇáÇá·ÅÏ£¬ÔòÔڴ˺óµÄ¹ý³ÌÖУ¨      £©

A¡¢Ò»¶Îʱ¼äÄÚ£¬¹¤¼þ½«ÔÚ»¬¶¯Ä¦²ÁÁ¦×÷ÓÃÏ£¬¶ÔµØ×ö¼ÓËÙÔ˶¯

B¡¢µ±¹¤¼þµÄËٶȵÈÓÚvʱ£¬ËüÓëÆ¤´øÖ®¼äµÄĦ²ÁÁ¦±äΪ¾²Ä¦²ÁÁ¦

C¡¢µ±¹¤¼þÏà¶ÔƤ´ø¾²Ö¹Ê±£¬ËüλÓÚÆ¤´øÉÏAµãÓÒ²àµÄijһµã

D¡¢¹¤¼þÔÚÆ¤´øÉÏÓпÉÄܲ»´æÔÚÓëÆ¤´øÏà¶Ô¾²Ö¹µÄ״̬

½â˵£ºBÑ¡ÏîÐèÒªÓõ½Å£¶ÙµÚÒ»¶¨ÂÉ£¬A¡¢C¡¢DÑ¡ÏîÓõ½Å£¶ÙµÚ¶þ¶¨ÂÉ¡£

½ÏÄÑÍ»ÆÆµÄÊÇAÑ¡ÏÔÚΪʲô²»»á¡°Á¢¼´¸úÉÏÆ¤´ø¡±µÄÎÊÌâÉÏ£¬½¨ÒéʹÓ÷´Ö¤·¨£¨t ¡ú 0 £¬a ¡ú ¡Þ £¬Ôò¦²Fx ¡ú ¡Þ £¬±ØÈ»»á³öÏÖ¡°¹©²»Ó¦Ç󡱵ľÖÃæ£©ºÍ±È½Ï·¨£¨ÎªÊ²Ã´ÈËÌøÉÏËٶȲ»´óµÄÎïÌå¿ÉÒÔ²»·¢ÉúÏà¶Ô»¬¶¯£¿ÒòΪÈËÊÇ¿ÉÒÔÐÎ±ä¡¢ÖØÐÄ¿ÉÒÔµ÷½ÚµÄÌØÊâ¡°ÎïÌ塱£©

´ËÍ⣬±¾ÌâµÄDÑ¡ÏҪÓõ½ÔȱäËÙÔ˶¯¹æÂÉ¡£ÓÃÔȱäËÙÔ˶¯¹æÂɺÍÅ£¶ÙµÚ¶þ¶¨Âɲ»Äѵóö

Ö»Óе±L £¾ Ê±£¨ÆäÖЦÌΪ¹¤¼þÓëÆ¤´øÖ®¼äµÄ¶¯Ä¦²ÁÒòËØ£©£¬²ÅÓÐÏà¶Ô¾²Ö¹µÄ¹ý³Ì£¬·ñÔòûÓС£

´ð°¸£ºA¡¢D

˼¿¼£ºÁîL = 10m £¬v = 2 m/s £¬¦Ì= 0.2 £¬gÈ¡10 m/s2 £¬ÊÔÇ󹤼þµ½´ïƤ´øÓҶ˵Äʱ¼ät£¨¹ý³ÌÂÔ£¬´ð°¸Îª5.5s£©

½ø½×Á·Ï°£ºÔÚÉÏÃæ¡°Ë¼¿¼¡±ÌâÖУ¬½«¹¤¼þ¸øÓèһˮƽÏòÓҵijõËÙv0 £¬ÆäËüÌõ¼þ²»±ä£¬ÔÙÇót£¨Ñ§Éú·ÖÒÔÏÂÈý×é½øÐУ©¡ª¡ª

¢Ù v0 = 1m/s  (´ð£º0.5 + 37/8 = 5.13s)

¢Ú v0 = 4m/s  (´ð£º1.0 + 3.5 = 4.5s)

¢Û v0 = 1m/s  (´ð£º1.55s)

2¡¢ÖÊÁ¿¾ùΪmµÄÁ½Ö»¹³ÂëAºÍB£¬ÓÃÇᵯ»ÉºÍÇáÉþÁ¬½Ó£¬È»ºó¹ÒÔÚÌ컨°åÉÏ£¬Èçͼ2Ëùʾ¡£ÊÔÎÊ£º

¢Ù Èç¹ûÔÚP´¦¼ô¶ÏϸÉþ£¬ÔÚ¼ô¶Ï˲ʱ£¬BµÄ¼ÓËÙ¶ÈÊǶàÉÙ£¿

¢Ú Èç¹ûÔÚQ´¦¼ô¶Ïµ¯»É£¬ÔÚ¼ô¶Ï˲ʱ£¬BµÄ¼ÓËÙ¶ÈÓÖÊǶàÉÙ£¿

½â˵£ºµÚ¢ÙÎÊÊdz£¹æ´¦Àí¡£ÓÉÓÚ¡°µ¯»É²»»áÁ¢¼´·¢ÉúÐα䡱£¬¹Ê¼ô¶Ï˲¼äµ¯»Éµ¯Á¦Î¬³ÖÔ­Öµ£¬ËùÒÔ´ËʱB¹³ÂëµÄ¼ÓËÙ¶ÈΪÁ㣨AµÄ¼ÓËÙ¶ÈÔòΪ2g£©¡£

µÚ¢ÚÎÊÐèÒªÎÒÃÇ·´Ê¡ÕâÑùÒ»¸öÎÊÌ⣺¡°µ¯»É²»»áÁ¢¼´·¢ÉúÐα䡱µÄÔ­ÒòÊÇʲô£¿ÊÇA¡¢BÁ½ÎïµÄ¹ßÐÔ£¬ÇÒËÙ¶ÈvºÍÎ»ÒÆs²»ÄÜÍ»±ä¡£µ«ÔÚQµã¼ô¶Ïµ¯»Éʱ£¬µ¯»ÉÈ´ÊÇûÓйßÐԵģ¨Ã»ÓÐÖÊÁ¿£©£¬×ñ´ÓÀíÏëÄ£Ð͵ÄÌõ¼þ£¬µ¯»ÉÓ¦ÔÚһ˲¼ä»Ö¸´Ô­³¤£¡¼´µ¯»Éµ¯Á¦Í»±äΪÁã¡£

´ð°¸£º0 £»g ¡£

¶þ¡¢Å£¶ÙµÚ¶þ¶¨ÂɵÄÓ¦ÓÃ

Ó¦ÓÃÒªµã£ºÊÜÁ¦½ÏÉÙʱ£¬Ö±½ÓÓ¦ÓÃÅ£¶ÙµÚ¶þ¶¨Âɵġ°Ê¸Á¿ÐÔ¡±½âÌâ¡£ÊÜÁ¦±È½Ï¶àʱ£¬½áºÏÕý½»·Ö½âÓë¡°¶ÀÁ¢×÷ÓÃÐÔ¡±½âÌâ¡£

ÔÚÄѶȷ½Ã棬¡°Ë²Ê±ÐÔ¡±ÎÊÌâÏà¶Ô½Ï´ó¡£

1¡¢»¬¿éÔڹ̶¨¡¢¹â»¬¡¢Çã½ÇΪ¦ÈµÄÐ±ÃæÉÏÏ»¬£¬ÊÔÇóÆä¼ÓËÙ¶È¡£

½â˵£ºÊÜÁ¦·ÖÎö ¡ú ¸ù¾Ý¡°Ê¸Á¿ÐÔ¡±¶¨ºÏÁ¦·½Ïò ¡ú Å£¶ÙµÚ¶þ¶¨ÂÉÓ¦ÓÃ

´ð°¸£ºgsin¦È¡£

˼¿¼£ºÈç¹ûÐ±Ãæ½â³ý¹Ì¶¨£¬ÉϱíÈԹ⻬£¬Çã½ÇÈÔΪ¦È£¬ÒªÇ󻬿éÓëÐ±ÃæÏà¶Ô¾²Ö¹£¬Ð±ÃæÓ¦¾ß±¸Ò»¸ö¶à´óµÄˮƽ¼ÓËÙ¶È£¿£¨½âÌâ˼·ÍêÈ«Ïàͬ£¬Ñо¿¶ÔÏóÈÔΪ»¬¿é¡£µ«ÔÚµÚ¶þ»·½ÚÉÏӦעÒâÇø±ð¡£´ð£ºgtg¦È¡££©

½ø½×Á·Ï°1£ºÔÚÒ»ÏòÓÒÔ˶¯µÄ³µÏáÖУ¬ÓÃϸÉþÐü¹ÒµÄСÇò³ÊÏÖÈçͼ3ËùʾµÄÎȶ¨×´Ì¬£¬ÊÔÇó³µÏáµÄ¼ÓËÙ¶È¡££¨ºÍ¡°Ë¼¿¼¡±ÌâͬÀí£¬´ð£ºgtg¦È¡££©

½ø½×Á·Ï°2¡¢Èçͼ4Ëùʾ£¬Ð¡³µÔÚÇã½ÇΪ¦ÁµÄÐ±ÃæÉÏÔȼÓËÙÔ˶¯£¬³µÏá¶¥ÓÃϸÉþÐü¹ÒһСÇò£¬·¢ÏÖÐüÉþÓëÊúÖ±·½ÏòÐγÉÒ»¸öÎȶ¨µÄ¼Ð½Ç¦Â¡£ÊÔÇóС³µµÄ¼ÓËÙ¶È¡£

½â£º¼ÌÐø¹á³¹¡°Ê¸Á¿ÐÔ¡±µÄÓ¦Ó㬵«Êýѧ´¦Àí¸´ÔÓÁËһЩ£¨ÕýÏÒ¶¨Àí½âÈý½ÇÐΣ©¡£

·ÖÎöСÇòÊÜÁ¦ºó£¬¸ù¾Ý¡°Ê¸Á¿ÐÔ¡±ÎÒÃÇ¿ÉÒÔ×öÈçͼ5ËùʾµÄƽÐÐËıßÐΣ¬²¢ÕÒµ½ÏàÓ¦µÄ¼Ð½Ç¡£ÉèÕÅÁ¦TÓëÐ±Ãæ·½ÏòµÄ¼Ð½ÇΪ¦È£¬Ôò

¦È=£¨90¡ã+ ¦Á£©- ¦Â= 90¡ã-£¨¦Â-¦Á£©                 £¨1£©

¶Ô»ÒÉ«Èý½ÇÐÎÓÃÕýÏÒ¶¨Àí£¬ÓÐ

 =                                        £¨2£©

½â£¨1£©£¨2£©Á½Ê½µÃ£º¦²F = 

×îºóÔËÓÃÅ£¶ÙµÚ¶þ¶¨Âɼ´¿ÉÇóСÇò¼ÓËÙ¶È£¨¼´Ð¡³µ¼ÓËÙ¶È£©

´ð£º ¡£

2¡¢Èçͼ6Ëùʾ£¬¹â»¬Ð±ÃæÇã½ÇΪ¦È£¬ÔÚˮƽµØÃæÉϼÓËÙÔ˶¯¡£Ð±ÃæÉÏÓÃÒ»ÌõÓëÐ±ÃæÆ½ÐеÄϸÉþϵһÖÊÁ¿ÎªmµÄСÇò£¬µ±Ð±Ãæ¼ÓËÙ¶ÈΪaʱ£¨a£¼ctg¦È£©£¬Ð¡ÇòÄܹ»±£³ÖÏà¶ÔÐ±Ãæ¾²Ö¹¡£ÊÔÇó´ËʱÉþ×ÓµÄÕÅÁ¦T ¡£

½â˵£ºµ±Á¦µÄ¸öÊý½Ï¶à£¬²»ÄÜÖ±½ÓÓÃÆ½ÐÐËıßÐÎѰÇóºÏÁ¦Ê±£¬ÒËÓÃÕý½»·Ö½â´¦ÀíÊÜÁ¦£¬ÔÚ¶ÔӦţ¶ÙµÚ¶þ¶¨Âɵġ°¶ÀÁ¢×÷ÓÃÐÔ¡±Áз½³Ì¡£

Õý½»×ø±êµÄÑ¡Ôñ£¬ÊÓ½âÌâ·½±ã³Ì¶È¶ø¶¨¡£

½â·¨Ò»£ºÏȽéÉÜÒ»°ãµÄ˼·¡£ÑؼÓËÙ¶Èa·½Ïò½¨xÖᣬÓëa´¹Ö±µÄ·½ÏòÉϽ¨yÖᣬÈçͼ7Ëùʾ£¨NÎªÐ±ÃæÖ§³ÖÁ¦£©¡£ÓÚÊǿɵÃÁ½·½³Ì

¦²Fx = ma £¬¼´Tx £­ Nx = ma

¦²Fy = 0 £¬ ¼´Ty + Ny = mg

´úÈ뷽λ½Ç¦È£¬ÒÔÉÏÁ½Ê½³ÉΪ

T cos¦È£­N sin¦È = ma                       £¨1£©

T sin¦È + Ncos¦È = mg                       £¨2£©

ÕâÊÇÒ»¸ö¹ØÓÚTºÍNµÄ·½³Ì×飬½â£¨1£©£¨2£©Á½Ê½µÃ£ºT = mgsin¦È + ma cos¦È

½â·¨¶þ£ºÏÂÃæ³¢ÊÔÒ»ÏÂÄÜ·ñ¶ÀÁ¢µØ½âÕÅÁ¦T ¡£½«Õý½»·Ö½âµÄ×ø±êÑ¡ÔñΪ£ºx¡ª¡ªÐ±Ãæ·½Ïò£¬y¡ª¡ªºÍÐ±Ãæ´¹Ö±µÄ·½Ïò¡£Õâʱ£¬ÔÚ·Ö½âÊÜÁ¦Ê±£¬Ö»·Ö½âÖØÁ¦G¾ÍÐÐÁË£¬µ«ÖµµÃ×¢Ò⣬¼ÓËÙ¶Èa²»ÔÚÈκÎÒ»¸ö×ø±êÖáÉÏ£¬ÊÇÐèÒª·Ö½âµÄ¡£Ê¸Á¿·Ö½âºó£¬Èçͼ8Ëùʾ¡£

¸ù¾Ý¶ÀÁ¢×÷ÓÃÐÔÔ­Àí£¬¦²Fx = max

¼´£ºT £­ Gx = max

¼´£ºT £­ mg sin¦È = m acos¦È

ÏÔÈ»£¬¶ÀÁ¢½âTÖµÊdzɹ¦µÄ¡£½á¹ûÓë½â·¨Ò»Ïàͬ¡£

´ð°¸£ºmgsin¦È + ma cos¦È

˼¿¼£ºµ±a£¾ctg¦Èʱ£¬ÕÅÁ¦TµÄ½á¹û»á±ä»¯Â𣿣¨´ÓÖ§³ÖÁ¦µÄ½á¹ûN = mgcos¦È£­ma sin¦È¿´Ð¡ÇòÍÑÀëÐ±ÃæµÄÌõ¼þ£¬ÇóÍÑÀëÐ±Ãæºó£¬¦ÈÌõ¼þÒÑûÓÐÒâÒå¡£´ð£ºT = m ¡££©

ѧÉú»î¶¯£ºÓÃÕý½»·Ö½â·¨½â±¾½ÚµÚ2Ìâ¡°½ø½×Á·Ï°2¡±

½ø½×Á·Ï°£ºÈçͼ9Ëùʾ£¬×Ô¶¯·öÌÝÓëµØÃæµÄ¼Ð½ÇΪ30¡ã£¬µ«·öÌݵĄ̈½×ÊÇˮƽµÄ¡£µ±·öÌÝÒÔa = 4m/s2µÄ¼ÓËÙ¶ÈÏòÉÏÔ˶¯Ê±£¬Õ¾ÔÚ·öÌÝÉÏÖÊÁ¿Îª60kgµÄÈËÏà¶Ô·öÌݾ²Ö¹¡£ÖØÁ¦¼ÓËÙ¶Èg = 10 m/s2£¬ÊÔÇó·öÌݶÔÈ˵ľ²Ä¦²ÁÁ¦f ¡£

½â£ºÕâÊÇÒ»¸öչʾ¶ÀÁ¢×÷ÓÃÐÔÔ­ÀíµÄ¾­µäÀýÌ⣬½¨ÒéѧÉúÑ¡ÔñÁ½ÖÖ×ø±ê£¨Ò»ÖÖÊÇÑØa·½ÏòºÍ´¹Ö±a·½Ïò£¬ÁíÒ»ÖÖÊÇˮƽºÍÊúÖ±·½Ïò£©£¬¶Ô±È½âÌâ¹ý³Ì£¬½ø¶ø³ä·ÖÁì»áÓÃÅ£¶ÙµÚ¶þ¶¨ÂɽâÌâµÄÁé»îÐÔ¡£

´ð£º208N ¡£

3¡¢Èçͼ10Ëùʾ£¬¼×ͼϵ×ÅСÇòµÄÊÇÁ½¸ùÇáÉþ£¬ÒÒͼϵ×ÅСÇòµÄÊÇÒ»¸ùÇᵯ»ÉºÍÇáÉþ£¬·½Î»½Ç¦ÈÒÑÖª¡£ÏÖ½«ËüÃǵÄˮƽÉþ¼ô¶Ï£¬ÊÔÇó£ºÔÚ¼ô¶Ï˲¼ä£¬Á½ÖÖÇéÐÎÏÂСÇòµÄ˲ʱ¼ÓËÙ¶È¡£

½â˵£ºµÚÒ»²½£¬²ûÃ÷Éþ×Óµ¯Á¦ºÍµ¯»Éµ¯Á¦µÄÇø±ð¡£

£¨Ñ§Éú»î¶¯£©Ë¼¿¼£ºÓÃÊúÖ±µÄÉþºÍµ¯»ÉÐüµõСÇò£¬²¢ÓÃÊúÖ±ÏòϵÄÁ¦À­×¡Ð¡Çò¾²Ö¹£¬È»ºóͬʱÊÍ·Å£¬»áÓÐʲôÏÖÏó£¿Ô­ÒòÊÇʲô£¿

½áÂÛ¡ª¡ªÉþ×ӵĵ¯Á¦¿ÉÒÔÍ»±ä¶øµ¯»ÉµÄµ¯Á¦²»ÄÜÍ»±ä£¨ºú¿Ë¶¨ÂÉ£©¡£

µÚ¶þ²½£¬ÔÚ±¾ÀýÖУ¬Í»ÆÆ¡°Éþ×ÓµÄÀ­Á¦ÈçºÎ˲ʱµ÷½Ú¡±ÕâÒ»Äѵ㣨´Ó¼´½«¿ªÊ¼µÄÔ˶¯À´·´ÍÆ£©¡£

֪ʶµã£¬Å£¶ÙµÚ¶þ¶¨ÂɵÄ˲ʱÐÔ¡£

´ð°¸£ºa¼× = gsin¦È £»aÒÒ = gtg¦È ¡£

Ó¦ÓãºÈçͼ11Ëùʾ£¬µõÀºP¹ÒÔÚÌ컨°åÉÏ£¬ÓëµõÀºÖÊÁ¿ÏàµÈµÄÎïÌåQ±»¹Ì¶¨ÔÚµõÀºÖеÄÇᵯ»ÉÍÐס£¬µ±Ðü¹ÒµõÀºµÄϸÉþ±»ÉÕ¶Ï˲¼ä£¬P¡¢QµÄ¼ÓËÙ¶È·Ö±ðÊǶàÉÙ£¿

½â£ºÂÔ¡£

´ð£º2g £»0 ¡£

Èý¡¢Å£¶ÙµÚ¶þ¡¢µÚÈý¶¨ÂɵÄÓ¦ÓÃ

Òªµã£ºÔÚ¶¯Á¦Ñ§ÎÊÌâÖУ¬Èç¹ûÓöµ½¼¸¸öÑо¿¶ÔÏóʱ£¬¾Í»áÃæÁÙÈçºÎ´¦Àí¶ÔÏóÖ®¼äµÄÁ¦ºÍ¶ÔÏóÓëÍâ½çÖ®¼äµÄÁ¦ÎÊÌ⣬ÕâʱÓбØÒªÒý½ø¡°ÏµÍ³¡±¡¢¡°ÄÚÁ¦¡±ºÍ¡°ÍâÁ¦¡±µÈ¸ÅÄ²¢ÊÊʱµØÔËÓÃÅ£¶ÙµÚÈý¶¨ÂÉ¡£

ÔÚ·½·¨µÄÑ¡Ôñ·½Ã棬ÔòÓС°¸ôÀë·¨¡±ºÍ¡°ÕûÌå·¨¡±¡£Ç°ÕßÊǸù±¾£¬ºóÕßÓоÖÏÞ£¬Ò²ÓÐÄѶȣ¬µ«³£³£Ê¹½âÌâ¹ý³Ì¼ò»¯£¬Ê¹¹ý³ÌµÄÎïÀíÒâÒå¸ü¼ÓÃ÷Îú¡£

¶ÔN¸ö¶ÔÏó£¬ÓÐN¸ö¸ôÀë·½³ÌºÍÒ»¸ö£¨¿ÉÄܵģ©ÕûÌå·½³Ì£¬Õ⣨N + 1£©¸ö·½³ÌÖбØÓÐÒ»¸öÊÇͨ½â·½³Ì£¬ÈçºÎÈ¡ÉᣬÊÓ½âÌâ·½±ã³Ì¶È¶ø¶¨¡£

²¹³ä£ºµ±¶à¸ö¶ÔÏó²»¾ßÓй²Í¬µÄ¼ÓËÙ¶Èʱ£¬Ò»°ãÀ´½²£¬ÕûÌå·¨²»¿ÉÓ㬵«Ò²ÓÐÒ»ÖÖÌØÊâµÄ¡°ÕûÌå·½³Ì¡±£¬¿ÉÒÔ²»ÊÜÕâ¸ö¾ÖÏÞ£¨¿ÉÒÔ½éÉÜÍÆµ¼¹ý³Ì£©¡ª¡ª

¦²= m1 + m2 + m3 + ¡­ + mn

ÆäÖЦ²Ö»ÄÜÊÇϵͳÍâÁ¦µÄʸÁ¿ºÍ£¬µÈʽÓÒ±ßÒ²ÊÇʸÁ¿Ïà¼Ó¡£

1¡¢Èçͼ12Ëùʾ£¬¹â»¬Ë®Æ½ÃæÉÏ·Å×ÅÒ»¸ö³¤ÎªLµÄ¾ùÖÊÖ±°ô£¬ÏÖ¸ø°ôÒ»¸öÑØ°ô·½ÏòµÄ¡¢´óСΪFµÄˮƽºãÁ¦×÷Óã¬Ôò°ôÖи÷²¿Î»µÄÕÅÁ¦TËæÍ¼ÖÐxµÄ¹ØÏµÔõÑù£¿

½â˵£º½ØÈ¡¸ôÀë¶ÔÏó£¬ÁÐÕûÌå·½³ÌºÍ¸ôÀë·½³Ì£¨¸ôÀëÓҶνϺã©¡£

´ð°¸£ºN = x ¡£

˼¿¼£ºÈç¹ûË®Æ½Ãæ´Ö²Ú£¬½áÂÛÓÖÈçºÎ£¿

½â£º·ÖÁ½ÖÖÇé¿ö£¬£¨1£©ÄÜÀ­¶¯£»£¨2£©²»ÄÜÀ­¶¯¡£

µÚ£¨1£©Çé¿öµÄ¼ÆËãºÍÔ­Ìâ»ù±¾Ïàͬ£¬Ö»ÊǶàÁËÒ»¸öĦ²ÁÁ¦µÄ´¦Àí£¬½áÂ۵ϝ¼òÒ²Â鷳һЩ¡£

µÚ£¨2£©Çé¿ö¿ÉÉè°ôµÄ×ÜÖÊÁ¿ÎªM £¬ºÍË®Æ½ÃæµÄĦ²ÁÒòËØÎª¦Ì£¬¶øF = ¦ÌMg £¬ÆäÖÐl£¼L £¬Ôòx£¼(L-l)µÄÓÒ¶ÎûÓÐÕÅÁ¦£¬x£¾(L-l)µÄ×ó¶Ë²ÅÓÐÕÅÁ¦¡£

´ð£ºÈô°ôÈÔÄܱ»À­¶¯£¬½áÂÛ²»±ä¡£

Èô°ô²»Äܱ»À­¶¯£¬ÇÒF = ¦ÌMgʱ£¨¦ÌΪ°ôÓëÆ½ÃæµÄĦ²ÁÒòËØ£¬lΪСÓÚLµÄijһֵ£¬MΪ°ôµÄ×ÜÖÊÁ¿£©£¬µ±x£¼(L-l)£¬N¡Ô0 £»µ±x£¾(L-l)£¬N = ¡²x -¡´L-l¡µ¡³¡£

Ó¦ÓãºÈçͼ13Ëùʾ£¬ÔÚÇã½ÇΪ¦ÈµÄ¹Ì¶¨Ð±ÃæÉÏ£¬µþ·Å×ÅÁ½¸ö³¤·½Ì廬¿é£¬ËüÃǵÄÖÊÁ¿·Ö±ðΪm1ºÍm2 £¬ËüÃÇÖ®¼äµÄĦ²ÁÒòËØ¡¢ºÍÐ±ÃæµÄĦ²ÁÒòËØ·Ö±ðΪ¦Ì1ºÍ¦Ì2 £¬ÏµÍ³ÊͷźóÄܹ»Ò»Æð¼ÓËÙÏ»¬£¬ÔòËüÃÇÖ®¼äµÄĦ²ÁÁ¦´óСΪ£º

A¡¢¦Ì1 m1gcos¦È £»    B¡¢¦Ì2 m1gcos¦È £»

C¡¢¦Ì1 m2gcos¦È £»    D¡¢¦Ì1 m2gcos¦È £»

½â£ºÂÔ¡£

´ð£ºB ¡££¨·½ÏòÑØÐ±ÃæÏòÉÏ¡££©

˼¿¼£º£¨1£©Èç¹ûÁ½»¬¿é²»ÊÇÏ»¬£¬¶øÊÇÒÔ³õËÙ¶Èv0Ò»ÆðÉϳ壬ÒÔÉϽáÂÛ»á±äÂ𣿣¨2£©Èç¹ûÐ±Ãæ¹â»¬£¬Á½»¬¿éÖ®¼äÓÐûÓÐĦ²ÁÁ¦£¿£¨3£©Èç¹û½«ÏÂÃæµÄ»¬¿é»»³ÉÈçͼ14ËùʾµÄºÐ×Ó£¬ÉÏÃæµÄ»¬¿é»»³ÉСÇò£¬ËüÃÇÒÔ³õËÙ¶Èv0Ò»ÆðÉϳ壬ÇòÓ¦¶ÔºÐ×ÓµÄÄÄÒ»²àÄÚ±ÚÓÐѹÁ¦£¿

½â£ºÂÔ¡£

´ð£º£¨1£©²»»á£»£¨2£©Ã»ÓУ»£¨3£©ÈôÐ±Ãæ¹â»¬£¬¶ÔÁ½ÄÚ±Ú¾ùÎÞѹÁ¦£¬ÈôÐ±Ãæ´Ö²Ú£¬¶ÔÐ±ÃæÉÏ·½µÄÄÚ±ÚÓÐѹÁ¦¡£

2¡¢Èçͼ15Ëùʾ£¬Èý¸öÎïÌåÖÊÁ¿·Ö±ðΪm1 ¡¢m2ºÍm3 £¬´ø»¬ÂÖµÄÎïÌå·ÅÔÚ¹â»¬Ë®Æ½ÃæÉÏ£¬»¬ÂÖºÍËùÓнӴ¥ÃæµÄĦ²Á¾ù²»¼Æ£¬Éþ×ÓµÄÖÊÁ¿Ò²²»¼Æ£¬ÎªÊ¹Èý¸öÎïÌåÎÞÏà¶Ô»¬¶¯£¬Ë®Æ½ÍÆÁ¦FӦΪ¶àÉÙ£¿

½â˵£º

´ËÌâ¶ÔÏóËäÈ»ÓÐÈý¸ö£¬µ«ÄѶȲ»´ó¡£¸ôÀëm2 £¬ÊúÖ±·½ÏòÓÐÒ»¸öƽºâ·½³Ì£»¸ôÀëm1 £¬Ë®Æ½·½ÏòÓÐÒ»¸ö¶¯Á¦Ñ§·½³Ì£»ÕûÌåÓÐÒ»¸ö¶¯Á¦Ñ§·½³Ì¡£¾Í×ãÒÔ½âÌâÁË¡£

´ð°¸£ºF =  ¡£

˼¿¼£ºÈô½«ÖÊÁ¿Îªm3ÎïÌåÓÒ±ßÍڳɰ¼ÐΣ¬ÈÃm2¿ÉÒÔ×ÔÓɰڶ¯£¨¶ø²»Óëm3ÏàÅö£©£¬Èçͼ16Ëùʾ£¬ÆäËüÌõ¼þ²»±ä¡£ÊÇ·ñ¿ÉÒÔÑ¡ÔñÒ»¸öÇ¡µ±µÄF¡ä£¬Ê¹ÈýÕßÎÞÏà¶ÔÔ˶¯£¿Èç¹ûûÓУ¬ËµÃ÷ÀíÓÉ£»Èç¹ûÓУ¬Çó³öÕâ¸öF¡äµÄÖµ¡£

½â£º´Ëʱ£¬m2µÄ¸ôÀë·½³Ì½«½ÏΪ¸´ÔÓ¡£ÉèÉþ×ÓÕÅÁ¦ÎªT £¬m2µÄÊÜÁ¦Çé¿öÈçͼ£¬¸ôÀë·½³ÌΪ£º

 = m2a

¸ôÀëm£¬ÈÔÓУºT = m1a

½âÒÔÉÏÁ½Ê½£¬¿ÉµÃ£ºa = g

×îºóÓÃÕûÌå·¨½âF¼´¿É¡£

´ð£ºµ±m1 ¡Ü m2ʱ£¬Ã»ÓÐÊÊÓ¦ÌâÒâµÄF¡ä£»µ±m1 £¾ m2ʱ£¬ÊÊÓ¦ÌâÒâµÄF¡ä=  ¡£

3¡¢Ò»¸ùÖÊÁ¿ÎªMµÄľ°ô£¬É϶ËÓÃϸÉþϵÔÚÌ컨°åÉÏ£¬°ôÉÏÓÐÒ»ÖÊÁ¿ÎªmµÄ裬Èçͼ17Ëùʾ¡£ÏÖ½«ÏµÄ¾°ôµÄÉþ×Ó¼ô¶Ï£¬Í¬Ê±Ã¨Ïà¶Ô°ôÍùÉÏÅÀ£¬µ«ÒªÇóè¶ÔµØµÄ¸ß¶È²»±ä£¬Ôò°ôµÄ¼ÓËٶȽ«ÊǶàÉÙ£¿

½â˵£º·¨Ò»£¬¸ôÀë·¨¡£ÐèÒªÉè³öèצץ°ôµÄÁ¦f £¬È»ºóÁÐèµÄƽºâ·½³ÌºÍ°ôµÄ¶¯Á¦Ñ§·½³Ì£¬½â·½³Ì×é¼´¿É¡£

·¨¶þ£¬¡°ÐÂÕûÌå·¨¡±¡£

¾Ý¦²= m1 + m2 + m3 + ¡­ + mn £¬Ã¨ºÍ°ôµÄϵͳÍâÁ¦Ö»ÓÐÁ½ÕßµÄÖØÁ¦£¬ÊúÖ±ÏòÏ£¬¶øÃ¨µÄ¼ÓËÙ¶Èa1 = 0 £¬ËùÒÔ£º

£¨ M + m £©g = m¡¤0 + M a1 

½â°ôµÄ¼ÓËÙ¶Èa1Ê®·ÖÈÝÒס£

´ð°¸£ºg ¡£

ËÄ¡¢ÌØÊâµÄÁ¬½ÓÌå

µ±ÏµÍ³Öи÷¸öÌåµÄ¼ÓËٶȲ»ÏàµÈʱ£¬¾­µäµÄÕûÌå·¨²»¿ÉÓá£Èç¹û¸÷¸öÌåµÄ¼ÓËٶȲ»ÔÚÒ»ÌõÖ±ÏßÉÏ£¬¡°ÐÂÕûÌå·¨¡±Ò²½«ÓÐÒ»¶¨µÄÀ§ÄÑ£¨Ê¸Á¿ÇóºÍ²»Ò×£©¡£´Ëʱ£¬ÎÒÃǻص½¸ôÀë·¨£¬ÇÒÒª¸ü¼Ó×¢ÒâÕÒ¸÷²ÎÁ¿Ö®¼äµÄÁªÏµ¡£

½âÌâ˼Ï룺ץij¸ö·½ÏòÉϼÓËٶȹØÏµ¡£·½·¨£º¡°Î¢Ôª·¨¡±ÏÈ¿´Î»ÒƹØÏµ£¬ÔÙÍÆ¼ÓËٶȹØÏµ¡£¡¢

1¡¢Èçͼ18Ëùʾ£¬Ò»ÖÊÁ¿ÎªM ¡¢Çã½ÇΪ¦ÈµÄ¹â»¬Ð±Ã棬·ÅÖÃÔڹ⻬µÄË®Æ½ÃæÉÏ£¬ÁíÒ»¸öÖÊÁ¿ÎªmµÄ»¬¿é´ÓÐ±Ãæ¶¥¶ËÊÍ·Å£¬ÊÔÇóÐ±ÃæµÄ¼ÓËÙ¶È¡£

½â˵£º±¾ÌâÉæ¼°Á½¸öÎïÌ壬ËüÃǵļÓËٶȹØÏµ¸´ÔÓ£¬µ«ÔÚ´¹Ö±Ð±Ãæ·½ÏòÉÏ£¬´óСÊÇÏàµÈµÄ¡£¶ÔÁ½ÕßÁиôÀë·½³Ìʱ£¬Îñ±ØÔÚÕâ¸ö·½ÏòÉϽøÐÐÍ»ÆÆ¡£

£¨Ñ§Éú»î¶¯£©¶¨ÐÍÅжÏÐ±ÃæµÄÔ˶¯Çé¿ö¡¢»¬¿éµÄÔ˶¯Çé¿ö¡£

Î»ÒÆÊ¸Á¿Ê¾ÒâͼÈçͼ19Ëùʾ¡£¸ù¾ÝÔ˶¯Ñ§¹æÂÉ£¬¼ÓËÙ¶ÈʸÁ¿a1ºÍa2Ò²¾ßÓÐÕâÑùµÄ¹ØÏµ¡£

£¨Ñ§Éú»î¶¯£©ÕâÁ½¸ö¼ÓËÙ¶ÈʸÁ¿ÓÐʲô¹ØÏµ£¿

ÑØÐ±Ãæ·½Ïò¡¢´¹Ö±Ð±Ãæ·½Ïò½¨x ¡¢y×ø±ê£¬¿ÉµÃ£º

a1y = a2y             ¢Ù

ÇÒ£ºa1y = a2sin¦È     ¢Ú

¸ôÀ뻬¿éºÍÐ±Ãæ£¬ÊÜÁ¦Í¼Èçͼ20Ëùʾ¡£

¶Ô»¬¿é£¬ÁÐy·½Ïò¸ôÀë·½³Ì£¬ÓУº

mgcos¦È- N = ma1y     ¢Û

¶ÔÐ±Ãæ£¬ÈÔÑØºÏ¼ÓËÙ¶Èa2·½ÏòÁз½³Ì£¬ÓУº

Nsin¦È= Ma2          ¢Ü

½â¢Ù¢Ú¢Û¢Üʽ¼´¿ÉµÃa2 ¡£

´ð°¸£ºa2 =  ¡£

£¨Ñ§Éú»î¶¯£©Ë¼¿¼£ºÈçºÎÇóa1µÄÖµ£¿

½â£ºa1yÒÑ¿ÉÒÔͨ¹ý½âÉÏÃæµÄ·½³Ì×éÇó³ö£»a1xÖ»Òª¿´»¬¿éµÄÊÜÁ¦Í¼£¬ÁÐx·½ÏòµÄ¸ôÀë·½³Ì¼´¿É£¬ÏÔÈ»ÓÐmgsin¦È= ma1x £¬µÃ:a1x = gsin¦È ¡£×îºó¾Ýa1 = Çóa1 ¡£

´ð£ºa1 =  ¡£

2¡¢Èçͼ21Ëùʾ£¬ÓëË®Æ½Ãæ³É¦È½ÇµÄAB°ôÉÏÓÐÒ»»¬Ì×C £¬¿ÉÒÔÎÞĦ²ÁµØÔÚ°ôÉÏ»¬¶¯£¬¿ªÊ¼Ê±Óë°ôµÄA¶ËÏà¾àb £¬Ïà¶Ô°ô¾²Ö¹¡£µ±°ô±£³ÖÇã½Ç¦È²»±äµØÑØË®Æ½ÃæÔȼÓËÙÔ˶¯£¬¼ÓËÙ¶ÈΪa£¨ÇÒa£¾gtg¦È£©Ê±£¬Çó»¬Ì×C´Ó°ôµÄA¶Ë»¬³öËù¾­ÀúµÄʱ¼ä¡£

½â˵£ºÕâÊÇÒ»¸ö±È½ÏÌØÊâµÄ¡°Á¬½ÓÌåÎÊÌ⡱£¬Ñ°ÇóÔ˶¯Ñ§²ÎÁ¿µÄ¹ØÏµËƺõ±È¶¯Á¦Ñ§·ÖÎö¸ü¼ÓÖØÒª¡£¶¯Á¦Ñ§·½Ã棬ֻÐèÒª¸ôÀ뻬Ì×C¾ÍÐÐÁË¡£

£¨Ñ§Éú»î¶¯£©Ë¼¿¼£ºÎªÊ²Ã´ÌâÒâÒªÇóa£¾gtg¦È£¿£¨ÁªÏµ±¾½²µÚ¶þ½ÚµÚ1ÌâÖ®¡°Ë¼¿¼Ì⡱£©

¶¨ÐÔ»æ³ö·ûºÏÌâÒâµÄÔ˶¯¹ý³Ìͼ£¬Èçͼ22Ëùʾ£ºS±íʾ°ôµÄÎ»ÒÆ£¬S1±íʾ»¬Ì×µÄÎ»ÒÆ¡£ÑذôÓë´¹Ö±°ô½¨Ö±½Ç×ø±êºó£¬S1x±íʾS1ÔÚx·½ÏòÉϵķÖÁ¿¡£²»ÄÑ¿´³ö£º

S1x + b = S cos¦È                   ¢Ù

ÉèÈ«³Ìʱ¼äΪt £¬ÔòÓУº

S = at2                          ¢Ú

S1x = a1xt2                        ¢Û

¶ø¸ôÀ뻬Ì×£¬ÊÜÁ¦Í¼Èçͼ23Ëùʾ£¬ÏÔÈ»£º

mgsin¦È= ma1x                       ¢Ü

½â¢Ù¢Ú¢Û¢Üʽ¼´¿É¡£

´ð°¸£ºt = 

Áí½â£ºÈç¹ûÒý½ø¶¯Á¦Ñ§ÔڷǹßÐÔϵÖеÄÐÞÕýʽ ¦²* = m £¨×¢£º*Ϊ¹ßÐÔÁ¦£©£¬´ËÌ⼫¼òµ¥¡£¹ý³ÌÈçÏ¡ª¡ª

ÒÔ°ôΪ²ÎÕÕ£¬¸ôÀ뻬Ì×£¬·ÖÎöÊÜÁ¦£¬Èçͼ24Ëùʾ¡£

×¢Ò⣬»¬Ì×Ïà¶Ô°ôµÄ¼ÓËÙ¶ÈaÏàÊÇÑØ°ôÏòÉϵģ¬¹Ê¶¯Á¦Ñ§·½³ÌΪ£º

F*cos¦È- mgsin¦È= maÏà            £¨1£©

ÆäÖÐF* = ma                      £¨2£©

¶øÇÒ£¬ÒÔ°ôΪ²ÎÕÕ£¬»¬Ì×µÄÏà¶ÔÎ»ÒÆSÏà¾ÍÊÇb £¬¼´£º

b = SÏà = aÏà t2                 £¨3£©

½â£¨1£©£¨2£©£¨3£©Ê½¾Í¿ÉÒÔÁË¡£

µÚ¶þ½² ÅäÌ×ÀýÌâÑ¡½²

½Ì²Ä·¶±¾£º¹¨Ï¼ÁáÖ÷±à¡¶°ÂÁÖÆ¥¿ËÎïÀí˼άѵÁ·½Ì²Ä¡·£¬ÖªÊ¶³ö°æÉ磬2002Äê8ÔµÚÒ»°æ¡£

ÀýÌâÑ¡½²Õë¶Ô¡°½Ì²Ä¡±µÚÈýÕµIJ¿·ÖÀýÌâºÍϰÌâ¡£

Î¥·¨ºÍ²»Á¼ÐÅÏ¢¾Ù±¨µç»°£º027-86699610 ¾Ù±¨ÓÊÏ䣺58377363@163.com

¾«Ó¢¼Ò½ÌÍø