题目内容
汽车刹车前的速度为10m/s,刹车获得的加速度大小为2m/s2,则①从开始刹车后8s内滑行的距离x1
②从开始刹车到汽车为位移为21m时所经历的时间t
③静止前2.5s内汽车滑行的距离x2.
【答案】分析:①先求出刹车到停止所需的时间,因为汽车停止后不再运动,然后根据匀变速直线运动的位移时间公式
求出刹车后8s内的距离.
②根据匀变速直线运动的位移时间公式
求出开始刹车经历21m位移所需的时间.
③采取逆向思维,根据
求出静止前2.5s内汽车滑行的距离.
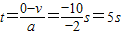
解答:解:①汽车刹车到停止所需的时间
所以刹车后8s内的位移等于5s内的位移.
所以刹车后8s内的位移
=
.
②由
,代入数据得:t=3s.
故开始刹车经历21m位移所需的时间为3s.
③根据逆向思维得,在静止前2.5s内汽车滑行的距离
.
点评:解决本题的关键掌握匀变速直线运动的位移时间公式
,以及知道汽车刹车停止后不再运动,所以刹车后8s内的位移等于5s内的位移.
②根据匀变速直线运动的位移时间公式
③采取逆向思维,根据
解答:解:①汽车刹车到停止所需的时间
所以刹车后8s内的位移等于5s内的位移.
所以刹车后8s内的位移
②由
故开始刹车经历21m位移所需的时间为3s.
③根据逆向思维得,在静止前2.5s内汽车滑行的距离
点评:解决本题的关键掌握匀变速直线运动的位移时间公式
练习册系列答案
相关题目