题目内容

两个星球组成双星,它们在相互间的万有引力作用下,绕连线上某一点做周期相同的匀速圆周运动.现测得两星中心距离为R,其运动周期为T,两星的总质量为_______________.

答案:略
解析:

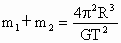
两星球的总质量为

根据万有引力定律和向心力公式得:

对行星

注意:引力式中的距离与行星轨道半径不同

对行星

化简得两式相加有

所以


练习册系列答案
相关题目

违法和不良信息举报电话:027-86699610 举报邮箱:58377363@163.com

精英家教网