题目内容
如图所示,质量mA=0.9kg的长板A静止在光滑的水平面上,质量mB=0.1kg的木块B以初速v=10m/s滑上A板,最后B木块停在A板上.求:(1)B木块最后的速度vB;
(2)此过程中A、B组成的系统损耗的机械能.
【答案】分析:根据动量守恒定律求出共同速度,再根据能量守恒定律求出A、B组成的系统损耗的机械能.
解答:解:(1)B在A上滑动的过程中,A、B组成系统的动量守恒,则
mBv=(mA+mB)vB
得 vB=1 m/s
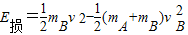
(2)此过程中根据能量守恒定律得
此过程损耗的机械能为:
得 E损=4.5J
答:(1)B木块最后的速度是1 m/s;
(2)此过程中A、B组成的系统损耗的机械能是4.5J.
点评:本题综合运用了动量守恒定律和能量守恒定律,知道能量的转化方向.
解答:解:(1)B在A上滑动的过程中,A、B组成系统的动量守恒,则
mBv=(mA+mB)vB
得 vB=1 m/s
(2)此过程中根据能量守恒定律得
此过程损耗的机械能为:
得 E损=4.5J
答:(1)B木块最后的速度是1 m/s;
(2)此过程中A、B组成的系统损耗的机械能是4.5J.
点评:本题综合运用了动量守恒定律和能量守恒定律,知道能量的转化方向.
练习册系列答案
相关题目