ÌâÄ¿ÄÚÈÝ
ÀíÂÛÑо¿±íÃ÷£¬ÎïÌåÔÚµØÇò¸½½ü¶¼Êܵ½µØÇò¶ÔËüµÄÍòÓÐÒýÁ¦×÷Ó㬾ßÓÐÒýÁ¦ÊÆÄÜ£®Ñ¡ÎïÌåÔÚ¾àµØÇòÎÞÏÞÔ¶´¦µÄÒýÁ¦ÊÆÄÜΪÁ㣬ÔòÒýÁ¦ÊÆÄܿɱíʾΪEp=-
¡¾´ð°¸¡¿·ÖÎö£º¸ù¾ÝÍòÓÐÒýÁ¦µÈÓÚÏòÐÄÁ¦Çó³öÈËÔìÎÀÐǵĹìµÀ°ë¾¶£¬´Ó¶øµÃ³öÔÚ¹ìµÀÉϵ͝ÄܺÍÊÆÄÜÖ®ºÍ£¬¸ù¾ÝÄÜÁ¿Êغ㶨ÂÉÇó³öÖÁÉÙ×ö¹¦µÄ¶àÉÙ£®
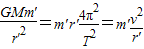
½â´ð£º½â£ºÉèÎÀÐÇÈÆµØÇò×öÔ²ÖÜÔ˶¯°ë¾¶r¡ä£¬Å£¶ÙµÚ¶þ¶¨Âɵãº
½âµÃ
£¬
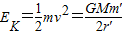
£¬ÔÚr¡ä¹ìµÀÉÏÔ˶¯¾ßÓеĻúеÄÜΪ
µØÃæ·¢ÉäÐë×ö¹¦W=¡÷E=
-
£®
´ð£ºÈôÒª´ÓµØÃæÉϽ«Õâ¿ÅÎÀÐÇ·¢Éä³É¹¦£¬ÔòÖÁÉÙÐè×ö¹¦Îª
-
£®
µãÆÀ£º½â¾ö±¾ÌâµÄ¹Ø¼üÕÆÎÕÍòÓÐÒýÁ¦ÌṩÏòÐÄÁ¦ÕâÒ»ÀíÂÛ£¬ÒÔ¼°ÖªµÀÖÁÉÙ×ö¹¦µÄ¶àÉÙµÈÓÚ»úеÄܵÄÔöÁ¿£®
½â´ð£º½â£ºÉèÎÀÐÇÈÆµØÇò×öÔ²ÖÜÔ˶¯°ë¾¶r¡ä£¬Å£¶ÙµÚ¶þ¶¨Âɵãº
½âµÃ
µØÃæ·¢ÉäÐë×ö¹¦W=¡÷E=
´ð£ºÈôÒª´ÓµØÃæÉϽ«Õâ¿ÅÎÀÐÇ·¢Éä³É¹¦£¬ÔòÖÁÉÙÐè×ö¹¦Îª
µãÆÀ£º½â¾ö±¾ÌâµÄ¹Ø¼üÕÆÎÕÍòÓÐÒýÁ¦ÌṩÏòÐÄÁ¦ÕâÒ»ÀíÂÛ£¬ÒÔ¼°ÖªµÀÖÁÉÙ×ö¹¦µÄ¶àÉÙµÈÓÚ»úеÄܵÄÔöÁ¿£®
Á·Ï°²áϵÁдð°¸
Ïà¹ØÌâÄ¿