题目内容
2003年10月15日,我国成功发射了第一艘载人宇宙飞船“神舟”五号.火箭全长58.3 m,起飞重量479.8 t,火箭点火升空,飞船进入预定轨道.“神舟”五号环绕地球飞行14圈约用时间21 h.飞船点火竖直升空时,航天员杨利伟感觉“超重感比较强”,仪器显示他对座舱的最大压力等于他体重的5倍.飞船进入轨道后,杨利伟还多次在舱内飘浮起来.假设飞船运行的轨道是圆形轨道.(地球半径R取6.4×103 km,地面重力加速度g取10 m/s2,计算结果取二位有效数字)
(1)试分析航天员在舱内“飘浮起来”的现象产生的原因.
(2)求火箭点火发射时,火箭的最大推力.
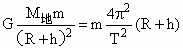
(3)估算飞船运行轨道距离地面的高度.
答案:
解析:
解析:
|
(1)航天员随舱做圆周运动,万有引力用来充当圆周运动的向心力,航天员对支撑物的压力为零,故航天员“飘浮起来”是一种失重现象. (2)火箭点火时,航天员受重力和支持力作用且N=5 mg,此时有N-mg=ma,解得a=4 g.此加速度即火箭起飞时的加速度,对火箭进行受力分析,列方程为F-Mg=Ma,解得火箭的最大推力为F=2.4×107 N. (3)飞船绕地球做匀速圆周运动,万有引力提供向心力, 在地球表面,万有引力与重力近似相等,得 解得h=3.1×102 km. |
练习册系列答案
相关题目
2003年10月15日我国成功发射了“神舟五号”飞船,总质量为7790公斤,它在太空飞行14圈、历时21小时斤,成功返回:2005年10月12日又成功发射了“神舟六号”,总质量为8吨多,它在太空飞行77圈、历时115小时33分后,成功返回.假定两飞船的运动近似为匀速圆周运动,两飞船的运行周期近似相等.比较两飞船的飞行情况可知( )
| A、两者运行时的角速度相等 | B、两者运行的离地面的高度相等 | C、两者运行时的向心加速度大小相等 | D、两者运行时受到的万行引力大小相等 |