题目内容
如图所示,在y>0的空间中存在着沿y轴正方的匀强电场;在y<0的空间中存在垂直xoy平面向里的匀强磁场.一个带负电的粒子(质量为m,电荷量为q,不计重力),从y轴上的P(0,b)点以平行于x轴的初速度υ射入电场,经过x轴上的N(2b,0)点.求:(1)粒子经过N点时的速度大小和方向.
(2)已知粒子进入磁场后恰好通过坐标原点,则粒子在磁场中运动的时间为多少?
【答案】分析:带电粒子从P点水平射入电场,粒子首先做类平抛运动,运用能量和运动学公式可求出进入磁场时的速度,粒子进入磁场后将做匀速圆周运动,由进入磁场时的速度大小和方向解得运动的半径和时间t.
解答:
解:(1)带电粒子从P点水平射入电场,粒子首先做类平抛运动,水平方向:x=vt

代入数据解得:vy=v
所以:
方向与x轴正方向成45°角
(2)如图可得,
洛伦兹力提供向心力则:
得:
所以:
粒子运动的周期:
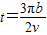
粒子运动的时间:
.
答:(1)粒子经过N点时的速度大小
,方向与x轴正方向成45°角.
(2)已知粒子进入磁场后恰好通过坐标原点,则粒子在磁场中运动的时间为
.
点评:该题考察了电子在电场中的偏转和在磁场中的匀速圆周运动,此题要求首先要分析电子在各个区域内的运动情况,必要时画出电子的运动轨迹图,了解图中的几何关系.利用电子在电场中偏转时的速度的合成与分解,解决电子在电场中运动的相关问题;利用电子在匀速圆周运动的半径和周期公式,结合洛伦兹力提供向心力可解答电子在磁场中运动的相关问题.
电子从磁场边界以一定的角度射入只有一个边界的匀强磁场,当再次射出磁场时,速度与边界的夹角与原来的相等.解题时充分利用这个结论,对解题有非常大的帮助.
解答:
代入数据解得:vy=v
所以:
方向与x轴正方向成45°角
(2)如图可得,
洛伦兹力提供向心力则:
得:
所以:
粒子运动的周期:
粒子运动的时间:
答:(1)粒子经过N点时的速度大小
(2)已知粒子进入磁场后恰好通过坐标原点,则粒子在磁场中运动的时间为
点评:该题考察了电子在电场中的偏转和在磁场中的匀速圆周运动,此题要求首先要分析电子在各个区域内的运动情况,必要时画出电子的运动轨迹图,了解图中的几何关系.利用电子在电场中偏转时的速度的合成与分解,解决电子在电场中运动的相关问题;利用电子在匀速圆周运动的半径和周期公式,结合洛伦兹力提供向心力可解答电子在磁场中运动的相关问题.
电子从磁场边界以一定的角度射入只有一个边界的匀强磁场,当再次射出磁场时,速度与边界的夹角与原来的相等.解题时充分利用这个结论,对解题有非常大的帮助.
练习册系列答案
相关题目