题目内容

小涵家住在一座25层的高楼内.他通过实验研究了电梯运动的速度v随时间t变化的规律,并作出了相应的vt图象.电梯从第一层开始启动一直上升至最高层的vt图象如图所示.g取10 m/s2.求

(1)根据图象求出电梯在0~6 s内的加速度大小a1,在16~19 s内的加速度大小a2

(2)0~19 s内电梯运动的位移大小.

答案:
解析:

  解:(1)根据图象得

  

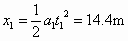
  (2)0~6 s;

  6~16 s;x2vt=48 m

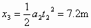
  16~19 s;

  总位移:xx1x2x3=69.6 m


练习册系列答案
相关题目

违法和不良信息举报电话:027-86699610 举报邮箱:58377363@163.com

精英家教网