题目内容

汽车刹车后,停止转动的轮胎在地面上发生滑动,可以明显的看出滑动的痕迹,即常说的刹车线,由刹车线长短可以得知汽车刹车前的速度大小,因此刹车线的长度是分析交通事故的一个重要依据.若汽车刹车后以7m/s2的加速度运动,刹车线长14m.则汽车在紧急刹车前的速度的大小是    m/s.
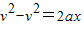
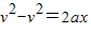
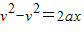
【答案】分析:汽车刹车后在地面上滑动,刹车线长为匀减速运动的位移,根据,求出刹车前的速度.
解答:解:根据知,末速度为0,加速度a=-7m/s2,则m/s=14m/s.
故本题答案为:14.
点评:解决本题的关键掌握匀变速直线运动的速度位移公式
练习册系列答案
相关题目

违法和不良信息举报电话:027-86699610 举报邮箱:58377363@163.com

精英家教网