题目内容

两个靠得很近的恒星称为双星,这两颗星必定以一定角速度绕二者连线上的某一点转动才不至于由于万有引力的作用而吸引在一起,已知两颗星的质量分别为,相距为L,试求;(1)两颗星转动中心的位置;(2)这两颗星转动的周期.

答案:略
解析:

(1)

(2)

此题中两星球间距为L,设两星球做圆周运动的轨道半径分别为,它们的转动周期丁相同.如图.

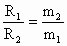
由①、②得:

又:

由③代入①得:


练习册系列答案
相关题目

违法和不良信息举报电话:027-86699610 举报邮箱:58377363@163.com

精英家教网