题目内容

如图所示,两块平行板电极的长度为L,两板间距离远小于L,可忽略不计。两板的正中央各有一个小孔M、N,两孔连线与板垂直。现将两极板分别接在可调直流电压U的两端,极板处在一有界匀强磁场(板内无磁场),磁感应强度为B,磁场的两条边界CD、DE的夹角θ=60°。下极板延长线与边界DE交于Q点,极板最右端P与Q间距离为2.5L。现将比荷均为的各种粒子分别从M孔射入电场,不考虑粒子的重力。将带正电的粒子从M无初速释放,

①若粒子恰好打到下极板右端,求所加直流电压的值U1.

②若,则该粒子经过多少次电场的加速后可以离开磁场区域?

 

【答案】

  ②2.25次

【解析】

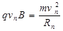
试题分析:①若粒子刚好打到下板的右端,则由几何关系得: ,

      2分

由:       2分

得:      1分

又:      2分

解得:      1分

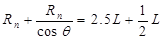
②假设粒子经过n次电场加速后的速度为,此时粒子轨迹恰好能与ED边界相切,如图,

轨迹半径为。由几何关系得:       2分

解得:      2分

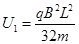
又:   2分

又粒子被电场加速n次,则:         2分

代入解得:n=2.25            1分

即粒子经过三次电场加速后离开磁场区域。         1分

考点:本题考查带电粒子在电场和磁场中的运动。

 

练习册系列答案
相关题目

违法和不良信息举报电话:027-86699610 举报邮箱:58377363@163.com

精英家教网