ÌâÄ¿ÄÚÈÝ
ÈçͼOx¡¢Oy¡¢OzΪÏ໥´¹Ö±µÄ×ø±êÖᣬOyÖáΪÊúÖ±·½Ïò£¬Õû¸ö¿Õ¼ä´æÔÚÊúÖ±ÏòϵÄÔÈÇ¿´Å³¡£¬´Å¸ÐӦǿ¶È´óСΪB£®ÏÖÓÐÒ»ÖÊÁ¿Îªm¡¢µçÁ¿Îª+qµÄСÇò´Ó×ø±êÔµãOÒÔËÙ¶ÈvÑØOxÖáÕý·½ÏòÅ׳ö£¨²»¼Æ¿ÕÆø×èÁ¦£¬ÖØÁ¦¼ÓËÙ¶ÈΪg£©£®Ç󣺣¨1£©ÈôÔÚÕû¸ö¿Õ¼ä¼ÓÒ»ÔÈÇ¿µç³¡E1£¬Ê¹Ð¡ÇòÔÚxOzÆ½ÃæÄÚ×öÔÈËÙÔ²ÖÜÔ˶¯£¬Çó³¡Ç¿E1ºÍСÇòÔ˶¯µÄ¹ìµÀ°ë¾¶£»
£¨2£©ÈôÔÚÕû¸ö¿Õ¼ä¼ÓÒ»ÔÈÇ¿µç³¡E2£¬Ê¹Ð¡ÇòÑØOxÖá×öÔÈËÙÖ±ÏßÔ˶¯£¬ÇóE2µÄ´óС£»
£¨3£©ÈôÔÚÕû¸ö¿Õ¼ä¼ÓÒ»ÑØyÖáÕý·½ÏòµÄÔÈÇ¿µç³¡£¬µç³¡Ç¿¶ÈΪ
¡¾´ð°¸¡¿·ÖÎö£º£¨1£©ÈôÔÚÕû¸ö¿Õ¼ä¼ÓÒ»ÔÈÇ¿µç³¡E1£¬Ê¹Ð¡ÇòÔÚxOzÆ½ÃæÄÚ×öÔÈËÙÔ²ÖÜÔ˶¯£¬ÖØÁ¦Óëµç³¡Á¦Æ½ºâ£¬ÓÉÆ½ºâÌõ¼þÇó³ö³¡Ç¿£®ÓÉÅ£¶ÙµÚ¶þ¶¨ÂÉÇó³ö°ë¾¶£®
£¨2£©ÈôÔÚÕû¸ö¿Õ¼ä¼ÓÒ»ÔÈÇ¿µç³¡E2£¬Ê¹Ð¡ÇòÑØOxÖá×öÔÈËÙÖ±ÏßÔ˶¯£¬ÖØÁ¦¡¢µç³¡Á¦ºÍÂåÂ××ÈÁ¦µÄºÏÁ¦ÎªÁ㣬¸ù¾ÝƽºâÌõ¼þÇó³ö³¡Ç¿£®
£¨3£©ÈôÔÚÕû¸ö¿Õ¼ä¼ÓÒ»ÑØyÖáÕý·½ÏòµÄÔÈÇ¿µç³¡£¬Ð¡ÇòÔÚ¸´ºÏ³¡ÖÐ×öÂÝÐýÔ˶¯£¬ÔËÓ÷ֽⷨÑо¿×ø±êyºÍ¶¯ÄÜEk£®
½â´ð£º½â£º£¨1£©ÓÉÓÚСÇòÔڴų¡ÖÐ×öÔÈËÙÔ²ÖÜÔ˶¯£¬Éè¹ìµÀ°ë¾¶Îªr£¬Ôò
qE1=mg½âµÃ
£¬·½ÏòÑØyÖáÕýÏò
ÓÖ
£¬½âµÃ

£¨2£©Ð¡Çò×öÔÈËÙÖ±ÏßÔ˶¯£¬ÊÜÁ¦Æ½ºâ£¬Ôò

½âµÃ
£¨3£©Ð¡ÇòÔÚ¸´ºÏ³¡ÖÐ×öÂÝÐýÔ˶¯£¬¿ÉÒÔ·Ö½â³ÉË®Æ½ÃæÄÚµÄÔÈËÙÔ²ÖÜÔ˶¯ºÍÑØyÖá·½ÏòµÄÔȼÓËÙÖ±ÏßÔ˶¯£®
×öÔȼÓËÙÔ˶¯µÄ¼ÓËÙ¶È
´ÓÔµãOµ½¾¹ýyÖáʱ¾ÀúµÄʱ¼ä
t=nT

½âµÃ
£¨n=1¡¢2¡¢3¡£©
Óɶ¯Äܶ¨ÀíµÃ
½âµÃ
£¨n=1¡¢2¡¢3¡£©
´ð£º
£¨1£©ÈôÔÚÕû¸ö¿Õ¼ä¼ÓÒ»ÔÈÇ¿µç³¡E1£¬Ê¹Ð¡ÇòÔÚxOzÆ½ÃæÄÚ×öÔÈËÙÔ²ÖÜÔ˶¯£¬³¡Ç¿
£¬·½ÏòÑØyÖáÕýÏò£®Ð¡ÇòÔ˶¯µÄ¹ìµÀ°ë¾¶
£®
£¨2£©ÈôÔÚÕû¸ö¿Õ¼ä¼ÓÒ»ÔÈÇ¿µç³¡E2£¬Ê¹Ð¡ÇòÑØOxÖá×öÔÈËÙÖ±ÏßÔ˶¯£¬E2µÄ´óСµÃ
£»
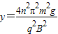
£¨3£©¸ÃСÇò´Ó×ø±êÔµãOÅ׳öºó£¬¾¹ýyÖáʱµÄ×ø±ê
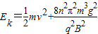
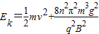
£¨n=1¡¢2¡¢3¡£©£¬¶¯ÄÜΪ
£¨n=1¡¢2¡¢3¡£©£®
µãÆÀ£º±¾Ìâ¹Ø¼üÒªÕÆÎÕÎïÌå×öÔÈËÙÔ²ÖÜÔ˶¯µÄÌõ¼þ£¬·ÖÎöÊÜÁ¦Çé¿öÊÇ»ù´¡£®¶ÔÓÚСÇò×öÂÝÐýÔ˶¯£¬²ÉÓÃÔ˶¯µÄ·Ö½â·¨Ñо¿Êdz£Ó÷½·¨£®
£¨2£©ÈôÔÚÕû¸ö¿Õ¼ä¼ÓÒ»ÔÈÇ¿µç³¡E2£¬Ê¹Ð¡ÇòÑØOxÖá×öÔÈËÙÖ±ÏßÔ˶¯£¬ÖØÁ¦¡¢µç³¡Á¦ºÍÂåÂ××ÈÁ¦µÄºÏÁ¦ÎªÁ㣬¸ù¾ÝƽºâÌõ¼þÇó³ö³¡Ç¿£®
£¨3£©ÈôÔÚÕû¸ö¿Õ¼ä¼ÓÒ»ÑØyÖáÕý·½ÏòµÄÔÈÇ¿µç³¡£¬Ð¡ÇòÔÚ¸´ºÏ³¡ÖÐ×öÂÝÐýÔ˶¯£¬ÔËÓ÷ֽⷨÑо¿×ø±êyºÍ¶¯ÄÜEk£®
½â´ð£º½â£º£¨1£©ÓÉÓÚСÇòÔڴų¡ÖÐ×öÔÈËÙÔ²ÖÜÔ˶¯£¬Éè¹ìµÀ°ë¾¶Îªr£¬Ôò
qE1=mg½âµÃ
ÓÖ
£¨2£©Ð¡Çò×öÔÈËÙÖ±ÏßÔ˶¯£¬ÊÜÁ¦Æ½ºâ£¬Ôò
½âµÃ
£¨3£©Ð¡ÇòÔÚ¸´ºÏ³¡ÖÐ×öÂÝÐýÔ˶¯£¬¿ÉÒÔ·Ö½â³ÉË®Æ½ÃæÄÚµÄÔÈËÙÔ²ÖÜÔ˶¯ºÍÑØyÖá·½ÏòµÄÔȼÓËÙÖ±ÏßÔ˶¯£®
×öÔȼÓËÙÔ˶¯µÄ¼ÓËÙ¶È
´ÓÔµãOµ½¾¹ýyÖáʱ¾ÀúµÄʱ¼ä
t=nT
½âµÃ
Óɶ¯Äܶ¨ÀíµÃ
½âµÃ
´ð£º
£¨1£©ÈôÔÚÕû¸ö¿Õ¼ä¼ÓÒ»ÔÈÇ¿µç³¡E1£¬Ê¹Ð¡ÇòÔÚxOzÆ½ÃæÄÚ×öÔÈËÙÔ²ÖÜÔ˶¯£¬³¡Ç¿
£¨2£©ÈôÔÚÕû¸ö¿Õ¼ä¼ÓÒ»ÔÈÇ¿µç³¡E2£¬Ê¹Ð¡ÇòÑØOxÖá×öÔÈËÙÖ±ÏßÔ˶¯£¬E2µÄ´óСµÃ
£¨3£©¸ÃСÇò´Ó×ø±êÔµãOÅ׳öºó£¬¾¹ýyÖáʱµÄ×ø±ê
µãÆÀ£º±¾Ìâ¹Ø¼üÒªÕÆÎÕÎïÌå×öÔÈËÙÔ²ÖÜÔ˶¯µÄÌõ¼þ£¬·ÖÎöÊÜÁ¦Çé¿öÊÇ»ù´¡£®¶ÔÓÚСÇò×öÂÝÐýÔ˶¯£¬²ÉÓÃÔ˶¯µÄ·Ö½â·¨Ñо¿Êdz£Ó÷½·¨£®
Á·Ï°²áϵÁдð°¸
Ïà¹ØÌâÄ¿