题目内容
“嫦娥奔月”的过程可以简化为:“嫦娥一号”升空后,绕地球沿椭圆轨道运动,远地点A距地面高为h1,在远地点时的速度为v,然后经过变轨被月球捕获,再经多次变轨,最终在距离月球表面高为h2=0.5 R2(R2为月球半径)的轨道上绕月球做匀速圆周运动。
⑴已知地球半径为R1、表面的重力加速度为g0,求“嫦娥一号”沿椭圆轨道运动时在远地点A处的加速度a;(已知万有引力常量为G)
⑵飞船在距离月球表面高为h2=0.5 R2的轨道上绕行几圈后登陆月球,飞船上备有以下实验器材:
A.计时表一只(测数据t); B.弹簧测力计(测数据F);
C.已知质量为m的物体一个; D.天平一只(附砝码一盒)。
已知宇航员在绕行时及着陆后各做了一次测量,依据测量的数据,可求出月球的半径R2 及月球的质量M(已知万有引力常量为G)
①两次测量要选用的器材有_ _______________ (用选项符号表示);
②两次测量的物理量是________________和________________;
③试用所给物理量的符号分别写出月球半径R2和质量M的表达式。
解:(1)因有:
![]()
所以:
![]()
(2)①ABC ②运行周期T,物体m在月球表面的重力G月
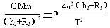
③由:
![]()
GM=gR22
G月=mg
解得:
![]()
“嫦娥奔月”的过程可以简化为:“嫦娥一号”升空后,绕地球沿椭圆轨道运动,远地点A距地面高为h1,在远地点时的速度为v,然后经过变轨被月球捕获,再经多次变轨,最终在距离月球表面高为h2="0.5" R2(R2为月球半径)的轨道上绕月球做匀速圆周运动.![]()
(1).已知地球半径为R1、表面的重力加速度为g0,求“嫦娥一号”沿椭圆轨道运动时在远地点A处的加速度a;(已知万有引力常量为G)
(2).飞船在距离月球表面高为h2="0.5" R2的轨道上绕行几圈后登陆月球,飞船上备有以下实验器材:![]()
| A.计时表一只(测数据t) | B.弹簧测力计(测数据F) |
| C.已知质量为m的物体一个 | D.天平一只(附砝码一盒) |
①两次测量要选用的器材有________________ (用选项符号表示);
②两次测量的物理量是______________________和____________________;
③试用所给物理量的符号分别写出月球半径R2和质量M的表达式。