题目内容

(12分)如图(1)所示 ,线圈匝数n=200匝,直径d1=40cm,电阻r=2Ω,线圈与阻值R=6Ω的电阻相连.在线圈的中心有一个直径d2=20cm的有界圆形匀强磁场,磁感应强度按图(2)所示规律变化,试求:(保留两位有效数字)

(1)通过电阻R的电流方向和大小;

(2)电压表的示数.

 

【答案】

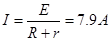
(1)电流的方向为   7.9A   (2)47V

【解析】

试题分析:(1)由楞次定律得电流的方向为

由法拉第电磁感应定律得

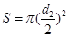
   磁场面积    而

根据闭合电路的欧姆定律

(2)电阻R两端的电压为47V

考点: 楞次定律   欧姆定律

 

练习册系列答案
相关题目
(1)某兴趣小组的同学利用如图1所示的实验装置,测量木块与长木板之间的动摩擦因数,图中长木板水平固定.
①实验过程中,打点计时器应接在
 
(填“直流”或“交流”)电源上,调整定滑轮的高度,使
 

②已知重力加速度为g,测得木块的质量为M,砝码盘和砝码的总质量为m,砝码盘、砝码和木块的加速度大小为a,则木块与长木板之间的动摩擦因数μ=
 

③实验时,某同学得到一条纸带,如图2所示,每隔三个计时点取一个计数点,即为图中0、1、2、3、4、5、6点.测得每两个计数点间的距离为s1=0.96cm,s2=2.88cm,s3=4.80cm,s4=6.72cm,s5=8.64cm,s6=10.56cm,打点计时器的电源频率为50Hz.计算此纸带的加速度大小a=m/s2,打第4个计数点时纸带的速度大小v=
 
m/s.(保留两位有效数字)
精英家教网
(2)①指针式多用电表是实验室中常用的测量仪器,请完成下列问题:
在使用多用电表测量时,指针的位置如图3所示,若选择开关拨至“×1”挡,则测量的结果为
 
Ω;若选择开关拨至“50mA”挡,则测量结果为
 
mA.精英家教网
②多用电表测未知电阻阻值的电路如图4所示,电池的电动势为E、内阻为r,R0为调零电阻,Rg为表头内阻,电路中电流I与待测电阻的阻值Rx关系图象如图5所示,则该图象的函数关系式为
 

③下列根据图5中I-Rx图线做出的解释或判断中正确的是
 

A.因为函数图线是非线性变化的,所以欧姆表的示数左小右大
B.欧姆表调零的实质是通过调节R0使Rx=0时电路中的电流I=Ig
C.Rx越小,相同的电阻变化量对应的电流变化量越大,所以欧姆表的示数左密右疏
D.测量中,当Rx的阻值为图5中的R2时,指针位于表盘中央位置的左侧.

违法和不良信息举报电话:027-86699610 举报邮箱:58377363@163.com

精英家教网