题目内容
水平轨道PQ、MN两端各接一个阻值R1=R2=8Ω的电阻,轨道间距L=1.0m,轨道很长,轨道电阻不计.轨道间磁场按如图所示的规律分布,其中每段垂直纸面向里和向外的磁场区域宽度均为10cm,磁感应强度大小均为B=1.0T,每段无磁场的区域宽度均为20cm,导体棒ab本身电阻r=1.0Ω,导体棒与导轨接触良好.现使导体棒ab以v=1.0m/s的速度始终向右匀速运动.求:(1)当导体棒ab从左端进入磁场区域开始计时,设导体棒中电流方向从b流向a为正方向,通过计算后请画出电流随时间变化的i-t图象;
(2)整个过程中流过导体棒ab的电流为交变电流,求出流过导体棒ab的电流有效值.(结果保留2位有效数字)
【答案】分析:(1)根据法拉第电磁感应定律求出感应电动势的大小,通过闭合回路欧姆定律求出感应电流的大小,根据右手定则判断出感应电流的方向,从而作出电流与时间的变化图象.
(2)根据电流的热效应,结合电流有效值的定义求出电流的有效值.
解答:解:(1)金属棒在两个磁场中切割磁感线产生的电动势为:E=BLv=1.0×1.0×1.0V=1.0V.
金属棒中的电流为:I=
.
流过金属棒的电流随时间的变化规律如图所示.

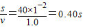
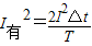
(2)电流流过金属棒的周期为T=
由
得,
所以I有=0.14A.
答:(1)电流随时间变化的i-t图象如图所示.
(2)流过导体棒ab的电流有效值为0.14A.
点评:本题考查电磁感应与电路的综合,掌握切割产生的感应电动势公式、闭合电路欧姆定律等知识,并能灵活运用.
(2)根据电流的热效应,结合电流有效值的定义求出电流的有效值.
解答:解:(1)金属棒在两个磁场中切割磁感线产生的电动势为:E=BLv=1.0×1.0×1.0V=1.0V.
金属棒中的电流为:I=
流过金属棒的电流随时间的变化规律如图所示.
(2)电流流过金属棒的周期为T=
由
所以I有=0.14A.
答:(1)电流随时间变化的i-t图象如图所示.
(2)流过导体棒ab的电流有效值为0.14A.
点评:本题考查电磁感应与电路的综合,掌握切割产生的感应电动势公式、闭合电路欧姆定律等知识,并能灵活运用.
练习册系列答案
相关题目