题目内容

如图所示的是练习使用打点计时器的实验中用打点计时器打出的一条纸带,A、B、C、D是研究纸带时所选的计数点,相邻计数点之间的时间间隔为0.1 s,则打点计时器打下B、C、D三点时纸带运动的速度是多大?

答案:
解析:

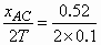
  答案:2.6 m/s 3 m/s 3.4 m/s

  解析:打B、C、D三点时纸带的速度是瞬时速度,可通过求平均速度间接得到这三点的瞬时速度.vbm/s=2.6 m/s,同理可求得vc=3 m/s vD=3.4 m/s.


练习册系列答案
相关题目

违法和不良信息举报电话:027-86699610 举报邮箱:58377363@163.com

精英家教网