题目内容
一个质量为m的物体静止放在光滑水平面上,在互成60°角的大小相等的两个水平恒力作用下,经过一段时间,物体获得的速度为v,在力的方向上获得的速度分别为v1、v2,那么在这段时间内,其中一个力做的功为( )A.
B.
C.
D.
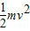
【答案】分析:在大小相等,方向夹角为60°两个力的作用下,物体从静止运动到速度为v,则其中一个力做的功,为物体所获得动能的一半.因为这两个力做的功,即为物体的动能的增加.
解答:解:大小相等,方向夹角为60°两个力的作用下,物体从静止运动到速度为v,则这两个力做的功一样多,且合力功为
,所以其中一个力做的功为总功的一半,即为
,故B正确;ACD错误;
故选:B
点评:本题考查力做功,但无法用功的表达式计算,由动能定理可求出合力功,由于两力做功一样,因此可求出一个力做的功.
解答:解:大小相等,方向夹角为60°两个力的作用下,物体从静止运动到速度为v,则这两个力做的功一样多,且合力功为
故选:B
点评:本题考查力做功,但无法用功的表达式计算,由动能定理可求出合力功,由于两力做功一样,因此可求出一个力做的功.
练习册系列答案
相关题目
在粗糙水平面上静放着一个质量为m的物体,知该物体与水平面之间的动摩擦因数为μ(设最大静摩擦力与滑动摩擦力相等).现对该物体施加一个水平方向的变力F,其特点是:
①F=2μmg且作用t0时间;②F=μmg且作用t0时间;③F=0且历时t0.
若此外力F按以下顺序所对应的规律变化,则使该物体在3t0末速度最大的情况和在3t0时间内摩擦力做功数值最大的情况分别是( )
①F=2μmg且作用t0时间;②F=μmg且作用t0时间;③F=0且历时t0.
若此外力F按以下顺序所对应的规律变化,则使该物体在3t0末速度最大的情况和在3t0时间内摩擦力做功数值最大的情况分别是( )
| A、③①②、①②③ | B、②③①、①③② | C、③②①、②①③ | D、①②③、②③① |
| A、mg sinα | ||
| B、mg cosα | ||
C、
| ||
| D、3mg sinα |