ÌâÄ¿ÄÚÈÝ
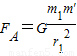
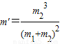
ÉñÆæµÄºÚ¶´Êǽü´úÒýÁ¦ÀíÂÛËùÔ¤ÑÔµÄÒ»ÖÖÌØÊâÌìÌ壬̽ѰºÚ¶´µÄ·½°¸Ö®Ò»Êǹ۲âË«ÐÇϵͳµÄÔ˶¯¹æÂÉ£®ÌìÎÄѧ¼Ò¹Û²âºÓÍâÐÇϵ´óÂóÕÜÂ×ÔÆÊ±£¬·¢ÏÖÁËLMCX-3Ë«ÐÇϵͳ£¬ËüÓɿɼûÐÇAºÍ²»¿É¼ûµÄ°µÐÇB¹¹³É£®½«Á½ÐÇÊÓΪÖʵ㣬²»¿¼ÂÇÆäËûÌìÌåµÄÓ°Ï죬A¡¢BÎ§ÈÆÁ½ÕßÁ¬ÏßÉϵÄOµã×öÔÈËÙÔ²ÖÜÔ˶¯£¬ËüÃÇÖ®¼äµÄ¾àÀë±£³Ö²»±ä£¬£¨Èçͼ£©Ëùʾ£®ÒýÁ¦³£Á¿ÎªG£¬Óɹ۲âÄܹ»µÃµ½¿É¼ûÐÇAµÄËÙÂÊvºÍÔËÐÐÖÜÆÚT£®£¨1£©¿É¼ûÐÇAËùÊܰµÐÇBµÄÒýÁ¦FA¿ÉµÈЧΪλÓÚOµã´¦ÖÊÁ¿Îªm¡äµÄÐÇÌ壨ÊÓΪÖʵ㣩¶ÔËüµÄÒýÁ¦£¬ÉèAºÍBµÄÖÊÁ¿·Ö±ðΪm1¡¢m2£¬ÊÔÇóm¡ä£¨ÓÃm1¡¢m2±íʾ£©£»
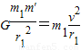
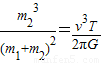
£¨2£©Çó°µÐÇBµÄÖÊÁ¿m2Óë¿É¼ûÐÇAµÄËÙÂÊv¡¢ÔËÐÐÖÜÆÚTºÍÖÊÁ¿m1Ö®¼äµÄ¹ØÏµÊ½£»
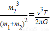
£¨3£©ºãÐÇÑÝ»¯µ½Ä©ÆÚ£¬Èç¹ûÆäÖÊÁ¿´óÓÚÌ«ÑôÖÊÁ¿msµÄ2±¶£¬Ëü½«ÓпÉÄܳÉΪºÚ¶´£®Èô¿É¼ûÐÇAµÄËÙÂÊv=2.7×105 m/s£¬ÔËÐÐÖÜÆÚT=4.7¦Ð×104s£¬ÖÊÁ¿m1=6ms£¬ÊÔͨ¹ý¹ÀËãÀ´ÅжϰµÐÇBÓпÉÄÜÊǺڶ´Âð£¿
¡¾´ð°¸¡¿·ÖÎö£º£¨1£©×¥×¡A¡¢B×öÔ²ÖÜÔ˶¯µÄÏòÐÄÁ¦ÏàµÈ£¬½ÇËÙ¶ÈÏàµÈ£¬Çó³öA¡¢B¹ìµÀ°ë¾¶µÄ¹ØÏµ£¬´Ó¶øµÃÖªA¡¢B¾àÀëΪAÎÀÐǵĹìµÀ°ë¾¶¹ØÏµ£¬¿É¼ûÐÇAËùÊܰµÐÇBµÄÒýÁ¦FA¿ÉµÈЧΪλÓÚOµã´¦ÖÊÁ¿Îªm¡äµÄÐÇÌ壨ÊÓΪÖʵ㣩¶ÔËüµÄÒýÁ¦£¬¸ù¾ÝÍòÓÐÒýÁ¦¶¨Âɹ«Ê½Çó³öÖÊÁ¿m¡ä£®
£¨2£©¸ù¾ÝÍòÓÐÒýÁ¦ÌṩÏòÐÄÁ¦Çó³ö°µÐÇBµÄÖÊÁ¿m2Óë¿É¼ûÐÇAµÄËÙÂÊv¡¢ÔËÐÐÖÜÆÚTºÍÖÊÁ¿m1Ö®¼äµÄ¹ØÏµÊ½£»
£¨3£©¸ù¾ÝµÚ£¨2£©Îʵıí´ïʽÇó³ö°µÐÇBµÄÖÊÁ¿£¬ÓëÌ«ÑôµÄÖÊÁ¿½øÐбȽϣ¬ÅжÏÊÇ·ñÊǺڶ´£®
½â´ð£º½â£º£¨1£©ÉèA¡¢BÔ²¹ìµÀµÄ°ë¾¶·Ö±ðΪr1¡¢r2£¬ÓÉÌâÒâÖª£¬A¡¢BµÄ½ÇËÙ¶ÈÏàµÈ£¬Îª¦Ø£¬
ÓУº
£¬
£¬ÓÖFA=FB£®
ÉèA¡¢BÖ®¼äµÄ¾àÀëΪr£¬ÓÖr=r1+r2£®
ÓÉÒÔÉϸ÷ʽµÃ£¬
¢Ù
ÓÉÍòÓÐÒýÁ¦¶¨Âɵã¬
£®
½«¢Ù´úÈëµÃ£¬
Áî
£¬±È½Ï¿ÉµÃ
£®¢Ú
£¨2£©ÓÉÅ£¶ÙµÚ¶þ¶¨ÂÉÓУº
£¬¢Û
ÓֿɼûÐǵĹìµÀ°ë¾¶
¢Ü
Óɢڢۢܵã¬
£®
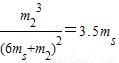
£¨3£©½«m1=6ms´úÈë
µÃ£¬
¢Ý
´úÈëÊý¾ÝµÃ£¬
£®¢Þ
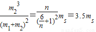
Éèm2=nms£¬£¨n£¾0£©½«Æä´úÈë¢ÞʽµÃ£¬
£®¢ß
¿É¼û£¬
µÄÖµËænµÄÔö´ó¶øÔö´ó£¬Áîn=2ʱ£¬µÃ
¢à
Ҫʹ¢ßʽ³ÉÁ¢£¬Ôòn±ØÐë´óÓÚ2£¬¼´°µÐÇBµÄÖÊÁ¿m2±ØÐë´óÓÚ2m1£¬Óɴ˵óö½áÂÛ£¬°µÐÇBÓпÉÄÜÊǺڶ´£®
´ð£º£¨1£©
£®
£¨2£©°µÐÇBµÄÖÊÁ¿m2Óë¿É¼ûÐÇAµÄËÙÂÊv¡¢ÔËÐÐÖÜÆÚTºÍÖÊÁ¿m1Ö®¼äµÄ¹ØÏµÊ½Îª
£®
£¨3£©°µÐÇBÓпÉÄÜÊǺڶ´£®
µãÆÀ£º±¾ÌâÊÇË«×ÓÐÇÎÊÌ⣬¹Ø¼üץס˫×ÓÐÇËùÊܵÄÍòÓÐÒýÁ¦ÏàµÈ£¬×ª¶¯µÄ½ÇËÙ¶ÈÏàµÈ£¬¸ù¾ÝÍòÓÐÒýÁ¦¶¨ÂɺÍÅ£¶ÙµÚ¶þ¶¨ÂÉ×ÛºÏÇó½â£®
£¨2£©¸ù¾ÝÍòÓÐÒýÁ¦ÌṩÏòÐÄÁ¦Çó³ö°µÐÇBµÄÖÊÁ¿m2Óë¿É¼ûÐÇAµÄËÙÂÊv¡¢ÔËÐÐÖÜÆÚTºÍÖÊÁ¿m1Ö®¼äµÄ¹ØÏµÊ½£»
£¨3£©¸ù¾ÝµÚ£¨2£©Îʵıí´ïʽÇó³ö°µÐÇBµÄÖÊÁ¿£¬ÓëÌ«ÑôµÄÖÊÁ¿½øÐбȽϣ¬ÅжÏÊÇ·ñÊǺڶ´£®
½â´ð£º½â£º£¨1£©ÉèA¡¢BÔ²¹ìµÀµÄ°ë¾¶·Ö±ðΪr1¡¢r2£¬ÓÉÌâÒâÖª£¬A¡¢BµÄ½ÇËÙ¶ÈÏàµÈ£¬Îª¦Ø£¬
ÓУº
ÉèA¡¢BÖ®¼äµÄ¾àÀëΪr£¬ÓÖr=r1+r2£®
ÓÉÒÔÉϸ÷ʽµÃ£¬
ÓÉÍòÓÐÒýÁ¦¶¨Âɵã¬
½«¢Ù´úÈëµÃ£¬
Áî
£¨2£©ÓÉÅ£¶ÙµÚ¶þ¶¨ÂÉÓУº
ÓֿɼûÐǵĹìµÀ°ë¾¶
Óɢڢۢܵã¬
£¨3£©½«m1=6ms´úÈë
´úÈëÊý¾ÝµÃ£¬
Éèm2=nms£¬£¨n£¾0£©½«Æä´úÈë¢ÞʽµÃ£¬
¿É¼û£¬
Ҫʹ¢ßʽ³ÉÁ¢£¬Ôòn±ØÐë´óÓÚ2£¬¼´°µÐÇBµÄÖÊÁ¿m2±ØÐë´óÓÚ2m1£¬Óɴ˵óö½áÂÛ£¬°µÐÇBÓпÉÄÜÊǺڶ´£®
´ð£º£¨1£©
£¨2£©°µÐÇBµÄÖÊÁ¿m2Óë¿É¼ûÐÇAµÄËÙÂÊv¡¢ÔËÐÐÖÜÆÚTºÍÖÊÁ¿m1Ö®¼äµÄ¹ØÏµÊ½Îª
£¨3£©°µÐÇBÓпÉÄÜÊǺڶ´£®
µãÆÀ£º±¾ÌâÊÇË«×ÓÐÇÎÊÌ⣬¹Ø¼üץס˫×ÓÐÇËùÊܵÄÍòÓÐÒýÁ¦ÏàµÈ£¬×ª¶¯µÄ½ÇËÙ¶ÈÏàµÈ£¬¸ù¾ÝÍòÓÐÒýÁ¦¶¨ÂɺÍÅ£¶ÙµÚ¶þ¶¨ÂÉ×ÛºÏÇó½â£®
Á·Ï°²áϵÁдð°¸
Ïà¹ØÌâÄ¿