题目内容
人造卫星在受到地球外层空间大气阻力的作用后,卫星绕地球运行的半径、角速度、速率将( )A.半径变小,角速度变大,速率变大
B.半径变大,角速度变大,速率变大
C.半径变大,角速度变小,速率不变
D.半径变小,角速度变大,速率不变
【答案】分析:人造卫星在受到地球外层空间大气阻力的作用后,它的总机械能会减小,所以它的轨道的高度会降低,其他的可以根据公式做出判定.
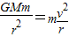
解答:解:人造卫星在太空运动时,它的能量包括动能和势能,发射的高度越高,需要的能量越大.因此,人造卫星在受到地球外层空间大气阻力的作用后,阻力做负功,它的总机械能会减小所以它的轨道的高度会降低,运动的半径减小.根据万有引力提供向心力,即
,得:
,由公式,半径减小时,速度会增大;又:
,得:
,半径减小时,角速度增大.故正确的选项是A.
故选:A
点评:该题考查卫星绕地球运行的半径、角速度、速率在受到地球外层空间大气阻力的作用后的变化,最简单的方法是根据卫星的总能量来说明.属于简单题.
解答:解:人造卫星在太空运动时,它的能量包括动能和势能,发射的高度越高,需要的能量越大.因此,人造卫星在受到地球外层空间大气阻力的作用后,阻力做负功,它的总机械能会减小所以它的轨道的高度会降低,运动的半径减小.根据万有引力提供向心力,即
故选:A
点评:该题考查卫星绕地球运行的半径、角速度、速率在受到地球外层空间大气阻力的作用后的变化,最简单的方法是根据卫星的总能量来说明.属于简单题.
练习册系列答案
相关题目
自1957年前苏联第一颗人造卫星上天后,迄今人类向太空发射的航天器已经超过4000枚.它们进入轨道后,有的因失去时效而报废,有的因出现故障而失灵,但都仍旧在太空漫游,形成了大量的太空垃圾.在太阳活动期,地球大气会受太阳风的影响而扩张,使一些原本在大气层外绕地球飞行的太空垃圾被大气包围,从而开始向地面下落.大部分太空垃圾在落地前已经燃烧成灰烬,但体积较大的太空垃圾则会落到地面上,对人类造成危害.太空垃圾下落的原因是( )
| A、大气的扩张使垃圾受到的万有引力增大而导致下落 | B、太空垃圾在燃烧过程中质量不断减小,根据牛顿第二运动定律,向心加速度不断增大,由此导致下落 | C、太空垃圾在大气阻力作用下速度减小,做圆运动所需的向心力将小于实际的万有引力,过大的万有引力将垃圾拉向了地面 | D、太空垃圾的上表面受到的大气压力大于其下表面受到的大气压力,这种压力差将它推向地面 |