题目内容
如图所示,回旋加速器是用来加速带电粒子使它获得很大动能的装置.其核心部分是两个D形金属盒,置于匀强磁场中,两盒分别与高频电源相连.则带电粒子加速所获得的最大动能与下列因素有关的( )A.加速的次数
B.加速电压的大小
C.金属盒的半径
D.匀强磁场的磁感应强度
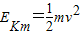
【答案】分析:当带电粒子从回旋加速器最后出来时速度最大,根据
求出最大速度,再根据
求出最大动能,可知与什么因素有关.
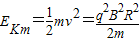
解答:解:根据
得,最大速度
,则最大动能
.知最大动能和金属盒的半径以及磁感应强度有关,与加速的次数和加速电压的大小无关.故C、D正确,A、B错误.
故选CD.
点评:解决本题的关键知道根据
求最大速度,知道最大动能与D形盒的半径有关,与磁感应强度的大小有关.
解答:解:根据
故选CD.
点评:解决本题的关键知道根据
练习册系列答案
相关题目
A、所加高频交流电的频率应是
| ||
B、所加高频交流电的频率应是
| ||
C、粒子离开加速器前被加速的次数为
| ||
D、粒子离开加速器时的动能是
|
| A、减小磁感应强度.同时增大高频电源的周期 | B、增大磁感应强度,同时减小高频电源的周期 | C、增大磁感应强度,同时增大高频电源的电压 | D、减小高频电源的周期.同时增大高频电源的电压 |