ÌâÄ¿ÄÚÈÝ

ÈçͼËùʾ£¬AΪ¡°¾²Ö¹¡±ÓÚ³àµÀÉÏËæµØÇò×ÔתµÄÎïÌ壬BΪ³àµÀÉϿյĽüµØÎÀÐÇ£¬CΪµØÇòµÄͬ²½ÎÀÐÇ£¬ÈôËüÃǵÄÔ˶¯¶¼¿ÉÊÓΪÔÈËÙÔ²ÖÜÔ˶¯£¬Ôò±È½ÏÈý¸öÎïÌåµÄÔ˶¯Çé¿ö£¬ÏÂÁÐÅжÏÕýÈ·µÄÊÇ

A£®ÈýÕß½ÇËٶȵĴóС¹ØÏµÎª¦ØA = ¦ØB = ¦ØC

B£®ÈýÕßÏßËٶȵĴóС¹ØÏµÎªvA < vB < vC

C£®ÈýÕßÏòÐļÓËÙ¶È´óС¹ØÏµÎªaA > aB > aC

D£®ÈýÕßµÄÖÜÆÚ¹ØÏµÎªTB < TC = TA

 

¡¾´ð°¸¡¿

D

¡¾½âÎö¡¿

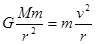
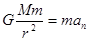
ÊÔÌâ·ÖÎö£ºÓÉÓÚÎïÌåAËæµØÇò×Ôת£¬CΪµØÇòͬ²½ÎÀÐÇ£¬ £¬ £»¸ù¾ÝºÍ£¬µÃ,£»¸ù¾Ý£¬Ôò£¬Öª£»¸ù¾Ý£¬Ôò£¬Öª£»¸ù¾Ý£¬Ôò£¬Öª£»¸ù¾Ý£¬Ôò£¬µÃ£»¹Ê×ÛºÏÒÔÉÏDÕýÈ·¡£

¿¼µã£º±¾Ì⿼²éÔËÓÃÍòÓÐÒýÁ¦¶¨Âɽâ¾öÌìÌåÔ˶¯ÎÊÌâµÄ»ù±¾Ë¼Â·¡£

 

Á·Ï°²áϵÁдð°¸
Ïà¹ØÌâÄ¿

Î¥·¨ºÍ²»Á¼ÐÅÏ¢¾Ù±¨µç»°£º027-86699610 ¾Ù±¨ÓÊÏ䣺58377363@163.com

¾«Ó¢¼Ò½ÌÍø