题目内容
在“探究小车速度随时间变化的规律”的实验中,打点计时器使用的交流电的频率为50Hz,记录小车运动的纸带如图所示,在纸带上选择0、1、2、3、4、5共6个计数点,相邻两计数点之间还有四个点未画出,纸带旁并排放着带有最小分度为毫米的刻度尺,零刻度线跟“0”计数点对齐,由图可以读出三个计数点1、3、5跟0点的距离填入下列表格中.| 距离 | d1 | d2 | d3 |
| 测量值/cm | ______ | ______ | ______ |
(2)加速度a=______(结果保留两位有效数字).
【答案】分析:纸带实验中,若纸带匀变速直线运动,测得纸带上的点间距,利用匀变速直线运动的推论,可计算出打出某点时纸带运动的瞬时速度和加速度.
解答:解:根据刻度尺读出对应的数据:
(1)因为每相邻两计数点间还有4个打点,所以相邻的计数点之间的时间间隔为T=0.1s
利用匀变速直线运动的推论得:
v2=
=
代入得v2=0.21m/s.
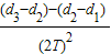
②根据运动学公式得:△x=at2,
a=
=
代入得加速度a=0.60m/s2 .
故答案为:(1)
,0.21m/s.
(2)0.60m/s2 .
点评:要注意单位的换算和有效数字的保留.
不同的尺有不同的精确度,注意单位问题.对常见的几种测量长度工具要熟悉运用,并能正确读数
能够知道相邻的计数点之间的时间间隔.
解答:解:根据刻度尺读出对应的数据:
| 距离 | d1 | d2 | d3 |
| 测量值/cm | 1.20 | 5.40 | 12.00 |
利用匀变速直线运动的推论得:
v2=
代入得v2=0.21m/s.
②根据运动学公式得:△x=at2,
a=
代入得加速度a=0.60m/s2 .
故答案为:(1)
(2)0.60m/s2 .
点评:要注意单位的换算和有效数字的保留.
不同的尺有不同的精确度,注意单位问题.对常见的几种测量长度工具要熟悉运用,并能正确读数
能够知道相邻的计数点之间的时间间隔.
练习册系列答案
相关题目
| A、打点计时器不一定要使用交流电 | B、在释放小车前,小车应紧挨在打点计时器旁 | C、应先接通电源,待打点计时器开始打点后再释放小车 | D、要在小车到达定滑轮前使小车停止运动 |