题目内容
如图所示,位于竖直平面内的坐标系xoy,在其第三象限空间有沿水平方向的、垂直于纸面向外的匀强磁场,磁感应强度大小为B=0.5T,还有沿x轴负方向的匀强电场,场强大小为E=(1)油滴在第一象限运动时受到的重力、电场力、洛伦兹力三力的大小之比;
(2)油滴在P点得到的初速度大小;
(3)油滴在第一象限运动的时间以及油滴离开第一象限处的坐标值.
【答案】分析:(1)油滴在复合场中做直线运动,垂直速度方向的合力一定为零,受力分析如图所示:如果油滴带负电,受力分析如(1)所示,带正电,受力分析如(2)所示.

因为要保证垂直速度方向合力为零,(2)中油滴一定做减速运动,这时洛仑兹力在变化,导致垂直速度方向的力发生变化,油滴不可能做直线运动,即油滴不仅垂直速度方向合力为零,沿速度方向合力也为零,则只能是(1)图,所以油滴一定带负电.
(2)根据第一问结果,运用洛伦兹力公式求解;
(3)粒子进入第一象限时,重力和电场力平衡,故粒子现做匀速直线运动,再做匀速圆周运动,最后做匀速直线运动,根据几何关系和洛伦兹力提供向心力计算总时间并确定离开第一象限的位置.
解答:解:(1)油滴带负电荷,设油滴质量为m,受力如图

由平衡条件结合几何关系得到:
mg:qE:f=1:1:
(2)根据洛伦兹力公式,有
f=qvB
故
mg:qE:qvB=1:1:
故
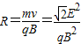
v=
(3)进入第一象限,电场力和重力相等,知油滴先做匀速直线运动,进入y≥h的区域后做匀速圆周运动,路径如图,最后从x轴上的N点离开第一象限.
由O到A匀速运动位移为S1=
=
知运动时间:t
由几何关系和圆周运动的周期关系
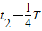
知由A→C的圆周运动时间为
=
,由对称性知从C→N的时间t2=t3
在第一象限运动的总时间
由在磁场中的匀速圆周运动,有
,解得轨道半径
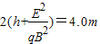
图中的ON=2(S1cos45°+Rcos45°)=
即油滴在第一象限运动的时间为0.82s,离开第一象限处(N点)的坐标为(4.0m,0).
点评:本题关键是先确定物体的运动情况,并画出运动轨迹,然后逐段逐段分析,匀速运动阶段受力平衡,匀速圆周运动阶段洛伦兹力提供向心力.
因为要保证垂直速度方向合力为零,(2)中油滴一定做减速运动,这时洛仑兹力在变化,导致垂直速度方向的力发生变化,油滴不可能做直线运动,即油滴不仅垂直速度方向合力为零,沿速度方向合力也为零,则只能是(1)图,所以油滴一定带负电.
(2)根据第一问结果,运用洛伦兹力公式求解;
(3)粒子进入第一象限时,重力和电场力平衡,故粒子现做匀速直线运动,再做匀速圆周运动,最后做匀速直线运动,根据几何关系和洛伦兹力提供向心力计算总时间并确定离开第一象限的位置.
解答:解:(1)油滴带负电荷,设油滴质量为m,受力如图
由平衡条件结合几何关系得到:
mg:qE:f=1:1:
(2)根据洛伦兹力公式,有
f=qvB
故
mg:qE:qvB=1:1:
故
v=
(3)进入第一象限,电场力和重力相等,知油滴先做匀速直线运动,进入y≥h的区域后做匀速圆周运动,路径如图,最后从x轴上的N点离开第一象限.
由O到A匀速运动位移为S1=
由几何关系和圆周运动的周期关系
在第一象限运动的总时间
由在磁场中的匀速圆周运动,有
图中的ON=2(S1cos45°+Rcos45°)=
即油滴在第一象限运动的时间为0.82s,离开第一象限处(N点)的坐标为(4.0m,0).
点评:本题关键是先确定物体的运动情况,并画出运动轨迹,然后逐段逐段分析,匀速运动阶段受力平衡,匀速圆周运动阶段洛伦兹力提供向心力.
练习册系列答案
相关题目