题目内容

(8分)某实验室中悬挂着一弹簧振子和一单摆,弹簧振子的弹簧和小球(球中间有孔)都套在固定的光滑竖直杆上.某次有感地震中观察到静止的振子开始振动4.0 s后,单摆才开始摆动.此次地震中同一震源产生的地震纵波和横波的波长分别为10 km和5.0 km,频率为1.0 Hz.假设该实验室恰好位于震源的正上方,求震源离实验室的距离.  

 

【答案】

40km

【解析】

试题分析:地震纵波传播速度为:vP=fλP

地震横波传播速度为:vS=fλS

有感地震中观察到静止的振子开始振动4.0s后,单摆才开始摆动.知横波由震源传播到实验室的时间比纵波的传播时间多4.0s.

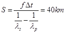
设震源离实验室距离为s,有:s=vPt=vS(t+△t)

解得:

考点:本题考查了波长、频率、波速之间的关系

 

练习册系列答案
相关题目

违法和不良信息举报电话:027-86699610 举报邮箱:58377363@163.com

精英家教网