题目内容

一个从地面竖直上抛的物体,它两次经过一个较低点A的时间间隔为,两次经过一个较高点B的时间间隔为,求A、B两点间距离.

答案:略
解析:

  两次经过A点和B点相当于从A点和B点分别做竖直上抛运动,可直接应用竖直上抛运动关系求解.

解:物体竖直上抛做匀减速直线运动,设AB点距地面高度分别为,根据位移公式:

,则有:

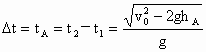
解得物体两次经过A点所用时间分别为

两次经过A点的时间差为

同理物体两次经过B点的时间差为

由①②③解得:


练习册系列答案
相关题目

违法和不良信息举报电话:027-86699610 举报邮箱:58377363@163.com

精英家教网