题目内容

(12分)汽车前方120m处有一自行车正以6m/s的速度匀速前进,汽车以18m/s的速度追赶自行车,若两车在同一条公路不同车道上作同方向的直线运动,求:

(1)经多长时间,两车第一次相遇?

(2)若汽车追上自行车后立即刹车,汽车刹车过程中的加速度大小为2m/s2,则再经多长时间两车第二次相遇?

 

【答案】

(1)10s;(2)13.5s;

【解析】

试题分析:(1)设经时间t1,汽车追上自行车,则有:

解得:                                     (5分)

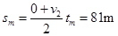
(2)设汽车从刹车到停下用时,则有:    (2分)

停止前汽车的位移:              (2分)

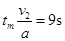
自行车追上时间为:                (2分)

所以再经过13.5s两车第二次相遇。               (1分)

考点:匀变速直线运动公式

 

练习册系列答案
相关题目

违法和不良信息举报电话:027-86699610 举报邮箱:58377363@163.com

精英家教网