题目内容

长为6 L质量为6 m的匀质绳,置于特制的水平桌面上,绳的一端悬垂于桌边外,另一端系有一个可视为质点的质量为M的木块,如图所示.木块在AB段与桌面无摩擦在BE段与桌面有摩擦,匀质绳与桌面的摩擦可忽略.初始时刻用手按住木块使其停在A处,绳处于绷紧状态,AB=BC=CD=DE=L,放手后,木块最终停在C处.桌面距地面高度大于6 L.

(1)求木块刚滑至B点时的速度v和木块与BE段的动摩因数μ;

(2)若木块在BE段与桌面的动摩擦因数变为,则木块最终停在何处?

(3)是否存在一个μ值,能使木块从A处放手后,最终停在E处,且不再运动?若能,求出该μ值;若不能,简要说明理由.

答案:
解析:

  解:(1)木块从A处释放后滑至B点的过程中,由机械能守恒得

   ① (3分)

  则木块滑至B点时的速度 ② (1分)

  木块从A处滑至C点的过程中,由功能关系得

   ③ (2分)

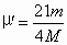
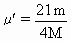
  由③式得 ④ (1分)

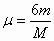
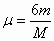
  (2)若,设木块能从B点向右滑动x最终停止,由功能关系得

   ⑤ (3分)

  将代入⑤式并整理得

  解得x=2 L(x=2.5 L不合题意舍去)

  即木块将从B点再滑动2L最终停在D处. (1分)

  (3)不存在符合要求的μ值,即不可能使木块从A处放手后最终停在E处且不再运动.

  解法一:这是由于当时,若木块滑至E点,恰好有,此时绳全部悬于桌边外,对木块的拉力恰好也为6 mg,而从(2)的结果知,要使木块继续向E点滑行,必须再减小μ值,因而木块尚未滑至E点时,木块所受滑动摩擦力已与悬绳拉力相等,此时,再向E点滑行时,悬绳对木块拉力将大于木块受到的滑动摩擦力而使合力向右木块又重新获得加速度.因此不可能保持静止状态. (3分)

  解法二:设满足此条件的动摩擦因数为,有:

  因为:,所以满足此条件的动摩擦因数不存在.


练习册系列答案
相关题目

违法和不良信息举报电话:027-86699610 举报邮箱:58377363@163.com

精英家教网