题目内容

一内壁光滑的环形细圆管,位于竖直平面内,环的半径为R(比细管的半径大得多),在圆管中有两个直径与细管内径相同的小球(可视为质点).A球的质量为,B球的质量为.它们沿环形圆管顺时针运动,经过最低点时的速度都为,设A球运动到最低点时,B球恰好运动到最高点,若要此时两球作用于圆管的合力为零,那么,R与应满足的关系式是________.

答案:略
解析:

如右图所示对于B球,在最高点时,根据牛顿第二定律和向心力公式得:

B从最低点到最高点过程中,由机械能守恒定律得

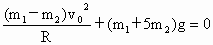
对于A球在最低点:

根据牛顿第三定律,小球受圆轨道作用力与小球对轨道压力相等,要使两球作用于圆管的合力为0,则应有

解得

此处有图


练习册系列答案
相关题目

违法和不良信息举报电话:027-86699610 举报邮箱:58377363@163.com

精英家教网