题目内容

如图的传送带,其水平部分ab=2 m,bc=4 m,bc与水平面夹角α=37°,一小物体A与传送带的动摩擦因数μ=0.25,皮带沿图所示方向运动,速率为2 m/s.若把物体A轻轻放到A点,它将被皮带送到c点,且物体A一直没有脱离皮带.求物体A从a点被传送到c点所用的时间.(g=10 m/s2)

答案:
解析:

  解析:物体A轻放到a点处,它对传送带的相对运动向后,传送带对A的滑动摩擦力向前,则A做初速度为0的匀加速运动直到与传送带速度相同.设此段时间为,加速度为,则

  a1=μg=2.5 m/s2  2分

  t1=v/a1=0.8 s  2分

  设A匀加速运动时间内位移为,则

  0.8 m  2分

  设A在水平传送带上作匀速运动时间为,则

  =0.6 s  2分

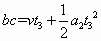
  设A在bc段运动时间为,加速度为,则

    3分

    3分

  代入数值解得

  =1 s(=-2 s舍去)  2分

  所以A从a点被传送到c点所用的时间

  t=t1=t2=t3=2.4 s  2分


练习册系列答案
相关题目

违法和不良信息举报电话:027-86699610 举报邮箱:58377363@163.com

精英家教网