题目内容

在一个水平放置的、半径为r的圆形管道内存在着匀强磁场,磁感强度大小为B,方向如图所示.管道轴线左端为O点,右端为O’点,OO’=l.一个质量为m、带电量为+q的质点沿管道轴线从左边射入,经过O点时速度大小为v,方向指向O’点.要使质点在运动过程中能经过O’点,讨论速度v的可能取值.

答案:
解析:

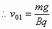
解:如果质点进入磁场后受力平衡,则质点做匀速直线运动,此时速度为v01

mg=Bqv01

若质点初速v0≠v01,则可以把v0分解为同一直线上的两个速度,即

v0=v01+v0’(v0’可正可负)

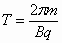
质点的运动可以看作两个运动的合运动,一个是以v01作匀速直线运动,另一个是速率为v0’的匀速圆周运动.半径周期

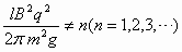
要能通过O’点,必须满足nT=l/v01(n=1,2,3…)

又,为了不使质点运动时与管壁相碰,应满足r>2R,即

结论:若,则v0只能取唯一值,即

,则v0可取之间的任意值.


练习册系列答案
相关题目

违法和不良信息举报电话:027-86699610 举报邮箱:58377363@163.com

精英家教网