题目内容
如图所示,两平行板相距10cm,板间有A、B两点相距 4cm,现将一带电量q=-3х10-4c的电荷,从A点移到B点,电场力做了7.2х10-3J的正功,则A、B两点的电势差UAB= V;两金属板间的电势差U= V.
【答案】分析:根据电场力做功WAB=qUAB求出AB间的电势差.根据匀强电场的场强公式
求出电场强度,从而再根据U=Ed求出两金属板间的电势差.
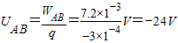
解答:解:根据电场力做功WAB=qUAB得,
.
则电场强度E=
,所以两金属板间的电势差U′=Ed′=1200×0.1V=120V.
故答案为:-24,120.
点评:解决本题的关键掌握电场力做功的公式W=qU,以及匀强电场的场强公式
,注意d为沿电场线方向上的距离.
解答:解:根据电场力做功WAB=qUAB得,
则电场强度E=
故答案为:-24,120.
点评:解决本题的关键掌握电场力做功的公式W=qU,以及匀强电场的场强公式
练习册系列答案
相关题目