题目内容
作自由落体运动的物体,经A点和B点的速度分别是5m/s和10m/s,则AB间的距离为 m,通过AB间的时间为 s.
【答案】分析:根据自由落体运动的公式
,及vB=vA+gt,即可求解.
解答:解:根据公式及vB=vA+gt,则有
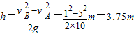
;
再由公式
,则有
.
故答案为:3.75;0.5
点评:考查自由落体运动的速度与时间关系,及位移与时间关系来确定结果.属于简单题
解答:解:根据公式及vB=vA+gt,则有
再由公式
故答案为:3.75;0.5
点评:考查自由落体运动的速度与时间关系,及位移与时间关系来确定结果.属于简单题
练习册系列答案
相关题目
关于自由落体运动,(g=9.8m/s2)下列说法中正确的是( )
| A、作自由落体运动的物体,只受重力,空气阻力可以忽略,初速度为零 | ||||
| B、在开始运动的连续的三个1s内通过的位移之比是1:4:9 | ||||
| C、在开始连续的三个1s末的速度大小之比是1:4:9 | ||||
D、从开始运动起下落9.8m、9.8m、9.8m,所经历的时间之比为1:
|
在下列实例中,不计空气阻力,机械能守恒的是( )
| A、作自由落体运动的物体 | B、沿斜面匀速下滑的物体 | C、沿光滑曲面自由下滑的物体 | D、起重机将重物匀速吊起 |