题目内容
比较距地高度为21500km的地球中轨道卫星甲和距地高度为36000km的地球同步轨道卫星乙,下列说法正确的是
A.卫星甲运行周期较大
B.卫星乙运行的角速度较大
C.甲、乙卫星受到地球的引力大小可能相同
D.卫星乙的向心加速度与静止在地球赤道上物体的向心加速度大小相同
【答案】
C
【解析】
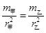
试题分析: 据题意知
,由
,可得
,有
,选项A错误。由
可得
,选项B错误。由
,若
,则两卫星可以受到大小相等的万有引力,选项C正确。卫星乙是地球同步卫星,与赤道上的物体自转有相同的周期
,由
可知
,选项D错误。故选C。
考点:本题考查了万有引力定律及其应用、卫星的圆周运动规律、公转与自转。
练习册系列答案
相关题目
| A、若保持h不变只改变r,则小球脱离B点以后在空中飞行的时间t将随r的增大而增大 | B、若保持h不变只改变r,则小球脱离B点前瞬间对轨道B点的压力FN将随r的增大而增大 | C、若保持H不变只减小h,则小球落地时的动能Ek将减小 | D、若保持H不变改变r和h,则小球脱离B点以后在空中飞行的水平距离的最大值为H |