题目内容
如图所示,水平面上放有用绝缘材料制成的L形滑板(平面部分足够长且不计厚度),质量为4m,距滑板的A壁为L1距离的B处放有一质量为m、电量为+q的小物体,忽略一切摩擦的影响.整个装置置于水平向右的场强为E的匀强电场中,初始时刻,滑板与物体都静止.(在碰撞过程中无电荷转移)试问:(1)释放小物体,第一次与滑板A壁碰前物体的速度v1多大?
(2)若物体与A壁碰后速度大小为碰前速率的
【答案】分析:(1)释放小物体,物体在电场力作用下水平向右运动,此时,滑板静止不动,对于小物体,由动能定理即可求解;
(2)碰后小物体反弹,由动量守恒定律求得滑板的速度,之后,滑板以v2匀速运动,直到与物体第二次碰撞,从第一次碰撞到第二次碰撞时,物体与滑板位移相等、时间相等、平均速度相等,列式即可求解.
解答:解:(1)释放小物体,物体在电场力作用下水平向右运动,此时,滑板静止不动,对于小物体,
由动能定理得:

解得:
(2)碰后小物体反弹,由动量守恒定律得:
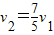
解得:
=
之后,滑板以v2匀速运动,直到与物体第二次碰撞,从第一次碰撞到第二次碰撞时,物体与滑板位移相等、时间相等、平均速度相等

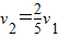
解得
=
答:(1)释放小物体,第一次与滑板A壁碰前物体的速度为
;
(2)物体在第二次跟A壁碰撞之前,滑板的速度为
,物体的速度为
.
点评:本题主要考查了动量守恒、动能定理、平均速度公式的应用,要求同学们能正确分析物体的运动情况,难度适中.
(2)碰后小物体反弹,由动量守恒定律求得滑板的速度,之后,滑板以v2匀速运动,直到与物体第二次碰撞,从第一次碰撞到第二次碰撞时,物体与滑板位移相等、时间相等、平均速度相等,列式即可求解.
解答:解:(1)释放小物体,物体在电场力作用下水平向右运动,此时,滑板静止不动,对于小物体,
由动能定理得:
解得:
(2)碰后小物体反弹,由动量守恒定律得:
解得:
之后,滑板以v2匀速运动,直到与物体第二次碰撞,从第一次碰撞到第二次碰撞时,物体与滑板位移相等、时间相等、平均速度相等
解得
答:(1)释放小物体,第一次与滑板A壁碰前物体的速度为
(2)物体在第二次跟A壁碰撞之前,滑板的速度为
点评:本题主要考查了动量守恒、动能定理、平均速度公式的应用,要求同学们能正确分析物体的运动情况,难度适中.
练习册系列答案
相关题目