题目内容
用如图1所示的实验装置验证机械能守恒定律,实验所用的电源为学生电源,输出电压为6V的交流电和直流电两种.重锤从高处由静止开始落下,重锤上拖着的纸带通过打点计时器打出一系列的点,对纸带上的点的痕迹进行测量,即可验证机械能守恒定待律.
①下面列举出了该实验的几个操作步骤:
A.按照图示的装置安装器件;
B.将打点计时器接到电源的直流输出端上;
C.用天平测量出重锤的质量;
D.释放悬挂纸带的夹子,同时接通电源开关打出一条纸带;
E.测量打出的纸带上某些点之间的距离;
F.根据测量的结果计算重锤下落过程中减少的重力势能是否等
于增加的动能.
指出其中没有必要进行的或者操作不恰当的步骤(简要地说明理由).
______.
②利用这个装置也可以测量重锤下落的加速度a的数值.如图2所示,根据打出的纸带,选取带上打出的连续五个点A、B、C、D、E,测出A点距离起始点O的距离为s,A、C两点间的距离为s1,C、E两点间的距离为s2,使用交流电的频率为f,则根据这些条件计算重锤下落的加速度a表达式为:a=______.
【答案】分析:解决实验问题首先要掌握该实验原理,了解实验的仪器、操作步骤和数据处理以及注意事项.
纸带实验中,若纸带匀变速直线运动,测得纸带上的点间距,利用匀变速直线运动的推论,可计算出打出某点时纸带运动的加速度.
解答:解:①没有必要进行的步骤是:
因为我们是比较mgh、
mv2的大小关系,故m可约去比较,不需要用天平.故C没有必要.故选C.
操作不恰当的步骤是:
应将打点计时器接到电源的交流输出端上,故B错误.
开始记录时,应先给打点计时器通电打点,然后再释放重锤,让它带着纸带一同落下,如果先放开纸带让重物下落,再接通打点计时时器的电源,由于重物运动较快,不利于数据的采集和处理,会对实验产生较大的误差,故D错误.
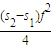
②利用匀变速直线运动的推论△x=at2
a=
=
.
故答案为:①步骤B是错误的,应该接到电源的交流输出端;步骤C不必要,因为根据测量原理,重锤的动能和势能中都包含了质量m,可以约去;步骤D是错误的,应该先接通电源,待打点稳定后再释放纸带.
②
点评:纸带问题的处理是力学实验中常见的问题.我们可以纸带法实验中,若纸带匀变速直线运动,测得纸带上的点间距,利用匀变速直线运动的推论,可计算出打出某点时纸带运动的瞬时速度和加速度.
纸带实验中,若纸带匀变速直线运动,测得纸带上的点间距,利用匀变速直线运动的推论,可计算出打出某点时纸带运动的加速度.
解答:解:①没有必要进行的步骤是:
因为我们是比较mgh、
操作不恰当的步骤是:
应将打点计时器接到电源的交流输出端上,故B错误.
开始记录时,应先给打点计时器通电打点,然后再释放重锤,让它带着纸带一同落下,如果先放开纸带让重物下落,再接通打点计时时器的电源,由于重物运动较快,不利于数据的采集和处理,会对实验产生较大的误差,故D错误.
②利用匀变速直线运动的推论△x=at2
a=
故答案为:①步骤B是错误的,应该接到电源的交流输出端;步骤C不必要,因为根据测量原理,重锤的动能和势能中都包含了质量m,可以约去;步骤D是错误的,应该先接通电源,待打点稳定后再释放纸带.
②
点评:纸带问题的处理是力学实验中常见的问题.我们可以纸带法实验中,若纸带匀变速直线运动,测得纸带上的点间距,利用匀变速直线运动的推论,可计算出打出某点时纸带运动的瞬时速度和加速度.
练习册系列答案
相关题目
(1)某同学在研究“对不同物体做相同功情况下,物体质量与速度的关系”时,提出了以下四种猜想:
A.m∞υ
B.
C.m∞υ2
D.
为验证猜想的正确性,该同学用如图1所示的装置进行实验:将长木板平放在水平桌面上,木块固定在长木板一端,打点计时器固定在木块上,木块右侧固定一轻弹簧,用连接纸带的小车压缩弹簧至长木板的虚线处由静止释放,打点计时器在纸带上打下一系列点,选取点迹均匀的一部分纸带,计算出小车匀速运动的速度υ1,测出小车的质量m1;然后在小车上加砝码,再次压缩弹簧至木板虚线处由静止释放小车,计算出小车和砝码匀速运动的速度υ2,测出小车和砝码的总质量m2:再在小车上加砝码,重复以上操作,分别测出υ3、m3….

①每次实验中,都将小车压缩弹簧至长木板的虚线处由静止释放,目的是______;若要消除每次实验中小车和纸带受到的阻力对小车运动的影响,应进行的实验操作是______.
②某次实验采集的五组数据如表:由表格数据直观判断,明显不正确的两个猜想是A、B、C、D中的______;若对某个猜想进行数据处理并作图,画出了如图2所示的图象,则图中的横坐标应是______.
(2)冬、春季节降水量少,广东沿海附近江河水位较低,涨潮时海水倒灌,出现“咸潮”现象,使沿海地区的城市自来水中的离子浓度增高,电阻率变小,水质受到影响.某同学设计了一个监测河水电阻率的实验.在一根均匀长度玻璃管两端分别装上橡胶塞和铂电极,如图3所示,两电极相距L=0.314m,管内充满待测的河水.安装前用游标卡尺测量玻璃管的内径,测量结果如图4所示.
为测管内河水电阻供选器材有:
电压表V1:量程15V,内阻约30kΩ
电压表V2:量程3V,内阻约10kΩ
电流表A1:量程0.6A,内阻约0.5Ω
电流表A2:量程150mA,内阻约10Ω
滑动变阻器甲:最大值为10Ω,额定电流足够大
滑动变阻器乙:最大值为1kΩ,额定电流足够大
电源E1:电动势15V,内阻6Ω
电源E2:电动势3V,内阻2Ω
开关、导线若干.
该同学选用以上部分器材测出了9组数据,并在坐标系中标出,如图5所示.
①据图(2)读出玻璃管的内径d=______mm.
②实验时,所选用的电压表为______(填“V1”或“V2”),所选用的电流表为______(填“A1”或“A2”),所选的滑动变阻器为______(填“甲”或“乙”),所选的电源为______(填“E1”或“E2”).
③在答题卡的虚线框内画出该实验的原理图.
A.m∞υ
B.
C.m∞υ2
D.
为验证猜想的正确性,该同学用如图1所示的装置进行实验:将长木板平放在水平桌面上,木块固定在长木板一端,打点计时器固定在木块上,木块右侧固定一轻弹簧,用连接纸带的小车压缩弹簧至长木板的虚线处由静止释放,打点计时器在纸带上打下一系列点,选取点迹均匀的一部分纸带,计算出小车匀速运动的速度υ1,测出小车的质量m1;然后在小车上加砝码,再次压缩弹簧至木板虚线处由静止释放小车,计算出小车和砝码匀速运动的速度υ2,测出小车和砝码的总质量m2:再在小车上加砝码,重复以上操作,分别测出υ3、m3….
①每次实验中,都将小车压缩弹簧至长木板的虚线处由静止释放,目的是______;若要消除每次实验中小车和纸带受到的阻力对小车运动的影响,应进行的实验操作是______.
②某次实验采集的五组数据如表:由表格数据直观判断,明显不正确的两个猜想是A、B、C、D中的______;若对某个猜想进行数据处理并作图,画出了如图2所示的图象,则图中的横坐标应是______.
| m/kg | 0.10 | 0.20 | 0.30 | 0.40 | 0.50 |
| v/ | 1.000 | 0.707 | 0.577 | 0.500 | 0..447 |
为测管内河水电阻供选器材有:
电压表V1:量程15V,内阻约30kΩ
电压表V2:量程3V,内阻约10kΩ
电流表A1:量程0.6A,内阻约0.5Ω
电流表A2:量程150mA,内阻约10Ω
滑动变阻器甲:最大值为10Ω,额定电流足够大
滑动变阻器乙:最大值为1kΩ,额定电流足够大
电源E1:电动势15V,内阻6Ω
电源E2:电动势3V,内阻2Ω
开关、导线若干.
该同学选用以上部分器材测出了9组数据,并在坐标系中标出,如图5所示.
①据图(2)读出玻璃管的内径d=______mm.
②实验时,所选用的电压表为______(填“V1”或“V2”),所选用的电流表为______(填“A1”或“A2”),所选的滑动变阻器为______(填“甲”或“乙”),所选的电源为______(填“E1”或“E2”).
③在答题卡的虚线框内画出该实验的原理图.