题目内容
如图所示,一支粗细均匀的U形管内装有同种液体且竖直放置,右管口用盖板A密封一部分气体,左管开口,两侧管内液面的高度差为h,U形管中液柱的总长度为4h。现拿去盖板A,液柱开始流动,不计水的粘滞阻力,当两侧管内的液面恰好相齐时,右侧液面下降的速度大小为多少?
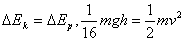
解:对管中的液体,运动过程中只有重力做功
它的机械能守恒,液体减少的重力势能等于液体增加的动能
设液体的总质量为m
那么当液面相平时
相当于质量为
的液体下降了
的高度
所以减少的重力势能为
根据机械能守定律:
解得
它的机械能守恒,液体减少的重力势能等于液体增加的动能
设液体的总质量为m
那么当液面相平时
相当于质量为
所以减少的重力势能为
根据机械能守定律:
解得
练习册系列答案
相关题目