题目内容

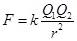
两个相同的金属小球,带电量之比为1∶5,当它们相距r时的相互作用力为.若把它们互相接触后再放回原处,它们的相互作用力变为,则之值可能为( )

A.5∶1B.5∶9C.5∶4D.5∶8

BC

解析试题分析:两电荷间存在库仑力,其大小可由库仑定律求出.当两电荷相互接触后再放回原处,电荷量可能相互中和后平分,也可能相互叠加再平分,所以库仑力的变化是由电荷量变化导致的.
由库仑定律可得:,当两相同金属小球带同种电荷时,两者相互接触后再放回原来的位置上,它们的电荷量之比变为3:3,所以库仑力;当两相同金属小球带异种电荷时,两者相互接触后再放回原来的位置上,它们的电荷量变为2:2,所以库仑力
故选BC
考点:库仑定律
点评:注意两相同金属小球,可能带同种电荷,也可能带异种电荷。

练习册系列答案
相关题目

违法和不良信息举报电话:027-86699610 举报邮箱:58377363@163.com

精英家教网